精英家教网 > 高中数学 > 题目详情

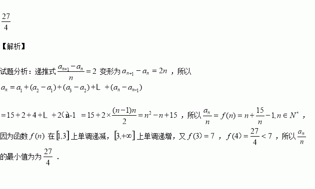
已知数列满足,则的最小值为

练习册系列答案
相关习题

科目:高中数学 来源:2015-2016学年四川省德阳市高二上学期期中考试数学试卷(解析版) 题型:解答题

如图,在平面直角坐标系中,点,直线,设圆的半径为,圆心在上.若圆心也在直线上,过点作圆的切线,求切线的方程;

查看答案和解析>>

科目:高中数学 来源:2015-2016学年山东省枣庄市高二10月学情调查数学试卷(解析版) 题型:选择题

已知数列满足,且是函数的两个零点,则等于 ( )

A.24 B.32 C.48 D.64

查看答案和解析>>

科目:高中数学 来源:2016届辽宁省大连市高三12月月考文科数学试卷(解析版) 题型:解答题

对某校高中学生进行心理障碍测试得到如下的列联表:

有心理障碍

没有心理障碍

总计

女生

10

30

男生

70

80

总计

20

110

将表格填写完整,试说明心理障碍与性别的关系?

假设检验中的临界值表:

0.50

0.40

0.25

0.15

0.10

0.05

0.025

0.010

0.005

0.001

0.455

0.708

1.323

2.072

2.706[

3.841

5.024

6.635

7.879

10.828

查看答案和解析>>

科目:高中数学 来源:2016届辽宁省大连市高三12月月考理科数学试卷(解析版) 题型:填空题

均为非零向量,且,则的夹角为

查看答案和解析>>

科目:高中数学 来源:2016届山东省枣庄市高三12月月考文科数学试卷(解析版) 题型:解答题

如下图,互相垂直的两条公路旁有一矩形花园,现欲将其扩建成一个更大的三角形花园,要求点在射线上,点N在射线上,且直线过点,其中米,米.记三角形花园的面积为

(1)问:取何值时,取得最小值,并求出最小值;

(2)若不超过1764平方米,求长的取值范围.

查看答案和解析>>

科目:高中数学 来源:2016届河北省邯郸市高三一轮收官考试一文科数学试卷(解析版) 题型:选择题

已知函数有两个极值点,且,则( )

A. B.

C. D.

查看答案和解析>>

科目:高中数学 来源:2016届甘肃省高三上第四次月考理科数学试卷(解析版) 题型:解答题

已知.若的充分不必要条件,求正实数的取值范围.

查看答案和解析>>

科目:高中数学 来源:2015-2016学年辽宁省高二上期中文科数学试卷(解析版) 题型:选择题

抛物线的焦点坐标是 ( )

A. B. C.. D.

查看答案和解析>>

同步练习册答案