精英家教网 > 高中数学 > 题目详情

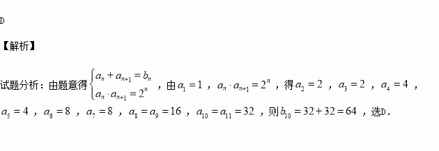
已知数列满足,且是函数的两个零点,则等于 ( )

A.24 B.32 C.48 D.64

练习册系列答案
相关习题

科目:高中数学 来源:2015-2016学年山东省高二上学期期中考试理科数学试卷(解析版) 题型:填空题

在直角坐标系中,△ 的三个顶点坐标分别为,动点 是△内的点(包括边界).若目标函数 的最大值为2,且此时的最优解所确定的点 是线段 上的所有点,则目标函数 的最小值为

查看答案和解析>>

科目:高中数学 来源:2015-2016学年四川省德阳市高二上学期期中考试数学试卷(解析版) 题型:选择题

若直线始终平分圆的周长,则的最小值为( )

A.1 B.5 C. D.

查看答案和解析>>

科目:高中数学 来源:2015-2016学年湖北省襄阳市等高一上学期期中联考数学试卷(解析版) 题型:选择题

函数的定义域是( )

A.

B.

C.

D.

查看答案和解析>>

科目:高中数学 来源:2015-2016学年山东省枣庄市高二10月学情调查数学试卷(解析版) 题型:解答题

在数之间插入个实数,使得这个实数构成递增的等比数列,将这个数的乘积记作,再令

(1)求数列的通项公式;

(2)设,求数列的前项和

查看答案和解析>>

科目:高中数学 来源:2015-2016学年湖南株洲二中高二上第三次月考理数学卷(解析版) 题型:解答题

已知函数在(1,+∞)上是增函数,且a>0.

(1)求a的取值范围;

(2)求函数在[0,+∞)上的最大值;

查看答案和解析>>

科目:高中数学 来源:2016届重庆市高三12月月考理科数学试卷(解析版) 题型:填空题

(本小题满分12分)为调查某地区老年人是否需要志愿者提供帮助,用简单随机抽样方法从该

地区调查了500位老人,结果如下面表中所示:

性别

是否需要帮助

合计

需要

50

25

75

不需要

200

225

425

合计

250

250

500

(1)请根据上表的数据,估计该地区老年人中,需要志愿者提供帮助的老年人的比例;

(2)能否在出错的概率不超过1%的前提下,认为该地老年人是否需要帮助与性别有关?并说明理由;

(3)根据(2)的结论,你能否提出更好的调查方法来估计该地区的老年人中,需要志愿者提供帮助的老

年人的比例?并说明理由.

附:独立性检验卡方统计量,其中为样本容量,独立性检验临界值表为:

0.15

0.10

0.05

0.025

0.010

0.005

0.001

2.072

2.706

3.841

5.024

6.635

7.879

10.828

查看答案和解析>>

科目:高中数学 来源:2016届河北省高三上第五次月考理科数学试卷(解析版) 题型:填空题

已知数列满足,则的最小值为

查看答案和解析>>

科目:高中数学 来源:2016届福建省高三上学期期中理科数学试卷(解析版) 题型:填空题

已知,且,则

查看答案和解析>>

同步练习册答案