精英家教网 > 高中数学 > 题目详情

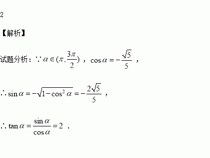
已知,且,则

练习册系列答案
相关习题

科目:高中数学 来源:2015-2016学年山东省枣庄市高二10月学情调查数学试卷(解析版) 题型:选择题

已知数列满足,且是函数的两个零点,则等于 ( )

A.24 B.32 C.48 D.64

查看答案和解析>>

科目:高中数学 来源:2016届河北省邯郸市高三一轮收官考试一文科数学试卷(解析版) 题型:选择题

已知函数有两个极值点,且,则( )

A. B.

C. D.

查看答案和解析>>

科目:高中数学 来源:2016届甘肃省高三上第四次月考理科数学试卷(解析版) 题型:解答题

已知.若的充分不必要条件,求正实数的取值范围.

查看答案和解析>>

科目:高中数学 来源:2016届福建省高三上学期期中文科数学试卷(解析版) 题型:选择题

给出下列四个命题:①的对称轴为②若函数的最小正周期是,则;③函数的最小值为;④函数上是增函数.

其中正确命题的个数是( )

A、1个 B、2个 C、3个 D、4个

查看答案和解析>>

科目:高中数学 来源:2016届福建省高三上第二次月考文科数学试卷(解析版) 题型:填空题

过点(1,0)且与直线相切的圆的圆心轨迹是

查看答案和解析>>

科目:高中数学 来源:2016届福建省高三上第二次月考理科数学试卷(解析版) 题型:选择题

将函数图像上所有点的横坐标缩短到原来的一半(纵坐标不变),再将它的图像向左平移个单位,得到了一个偶函数的图像,则的最小值为( )

A. B. C. D.

查看答案和解析>>

科目:高中数学 来源:2015-2016学年辽宁省高二上期中文科数学试卷(解析版) 题型:选择题

抛物线的焦点坐标是 ( )

A. B. C.. D.

查看答案和解析>>

科目:高中数学 来源:2015-2016学年湖南师大附中高二上第二次段测文科数学卷(解析版) 题型:解答题

在△ABC中,角A,B,C的对边分别为a,b,c,且满足

(1)求△ABC的面积;

(2)若b+c=5,求a的值.

查看答案和解析>>

同步练习册答案