精英家教网 > 高中数学 > 题目详情

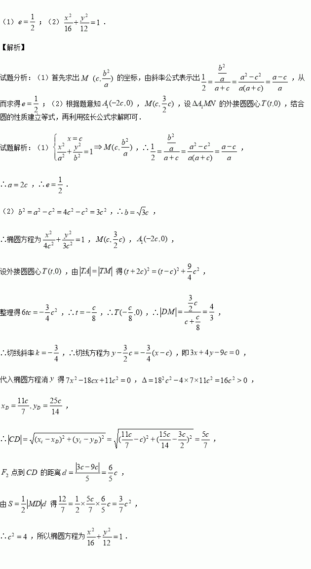
已知椭圆的左顶点为,右焦点为,过点作垂直于轴的直线交该椭圆于两点,直线的斜率为.

(1)求椭圆的离心率;

(2)若的外接圆在处的切线与椭圆交于另一点,且的面积为,求该椭圆方程.

练习册系列答案
相关习题

科目:高中数学 来源:2015-2016学年山东省菏泽市高一上学期期末考试数学试卷(解析版) 题型:解答题

已知函数

(1)判断函数在区间上的单调性(不必证明);

(2)当,且时,求的值;

(3)若存在实数,使得时,的取值范围是

的值.

查看答案和解析>>

科目:高中数学 来源:2016届江苏省淮安市高三5月信息卷(最后一模)考试数学试卷(解析版) 题型:填空题

中随机取出两个不同的数,则其和为奇数的概率为

查看答案和解析>>

科目:高中数学 来源:2015-2016学年河北省高二下学期第一次月考理科数学试卷(解析版) 题型:选择题

在一个不透明的袋子里,有三个大小相等小球(两黄一红),现在分别由3个同学无放回地抽取,如果已知第一名同学没有抽到红球,那么最后一名同学抽到红球的概率为 ( )

A. B. C. D.无法确定

查看答案和解析>>

科目:高中数学 来源:2015-2016学年河北省高二下学期第一次月考理科数学试卷(解析版) 题型:选择题

记者要为5名志愿都和他们帮助的2位老人拍照,要求排成一排,2位老人相邻但不排在两端,不同的排法共有( )

A.种 B.种 C.种 D.

查看答案和解析>>

科目:高中数学 来源:2016届天津市高三下第四次月考文科数学试卷(解析版) 题型:填空题

如图,等腰三角形.分别为边上的动点,且满足,其中分别是的中点,则的最小值为______.

查看答案和解析>>

科目:高中数学 来源:2016届天津市高三下第四次月考文科数学试卷(解析版) 题型:选择题

已知是定义在上的函数,对任意两个不相等的正数,都有,记,则( )

A. B. C. D.

查看答案和解析>>

科目:高中数学 来源:2016届宁夏六盘山高中高三第三次模拟考试文科数学试卷(解析版) 题型:填空题

是偶函数,且当时,,则的解集是 .

查看答案和解析>>

科目:高中数学 来源:2016届吉林省高三第八次模拟考试文科数学试卷(解析版) 题型:解答题

如图,正三棱柱中,中点.

(1)求证:平面

(2)若,求点到平面的距离.

查看答案和解析>>

同步练习册答案