精英家教网 > 高中数学 > 题目详情

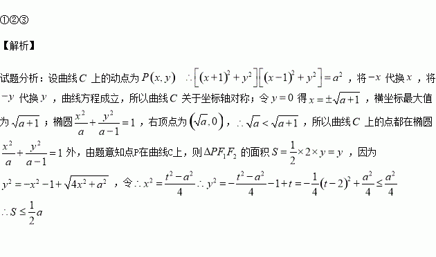
曲线是平面内与两个定点的距离的积等于常数的点的轨迹,给出下列四个结论:

①曲线关于坐标轴对称;

②曲线上的点都在椭圆外;

③曲线上点的横坐标的最大值为

④若点在曲线上(不在轴上),则的面积不大于.其中,所有正确结论的序号是

练习册系列答案
相关习题

科目:高中数学 来源:2015-2016学年江苏省无锡市四校高二上学期期中考试数学试卷(解析版) 题型:填空题

已知点在圆上运动.则范围是__ ____.

查看答案和解析>>

科目:高中数学 来源:2015-2016学年福建省高二上学期期中考试文科数学试卷(解析版) 题型:选择题

对于实数,下列结论中正确的是( )

A.

B.

C.若,,则

D.

查看答案和解析>>

科目:高中数学 来源:2015-2016学年重庆市高二上第一次月考理科数学试卷(解析版) 题型:选择题

已知点在曲线上,点,则的最大值为( )

A. B. C. D.

查看答案和解析>>

科目:高中数学 来源:2015-2016学年辽宁省大连市高二上期中文科数学试卷(解析版) 题型:填空题

曲线是平面内与两个定点的距离的积等于常数的点的轨迹,给出下列四个结论:

①曲线关于坐标轴对称;

②曲线过点

③若点在曲线上(不在轴上),则的面积不大于.

其中,所有正确结论的序号是________ .

查看答案和解析>>

科目:高中数学 来源:2015-2016学年江西省等三校高二上第一次联考数学试卷(解析版) 题型:解答题

(本小题满分12分)直线l的方程为(a+1)x+y+2-a=0(a∈R).

(1)若l在两坐标轴上的截距相等,求a的值;

(2)若l不经过第二象限,求实数a的取值范围.

查看答案和解析>>

科目:高中数学 来源:2015-2016学年江西省赣州市十三县高二上期中联考文科数学试卷(解析版) 题型:填空题

不等式的解集为

查看答案和解析>>

科目:高中数学 来源:2015-2016学年湖北省宜昌市高二上期中文科数学试卷(解析版) 题型:选择题

直线与曲线有两个不同的交点,则实数的取值范围是( )

A. B.

C. D.

查看答案和解析>>

科目:高中数学 来源:2016届云南省玉溪市高三上学期期中文科数学试卷(解析版) 题型:选择题

已知为等差数列,若,则的值为( )

A. B. C. D.

查看答案和解析>>

同步练习册答案