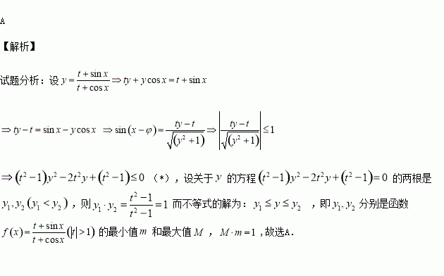
精英家教网 > 高中数学 > 题目详情

已知函数的最大值和最小值分别是,则为( )

A.1 B.2 C.-1 D.-2

练习册系列答案
相关习题

科目:高中数学 来源:2016届山东省高三10月月考文科数学试卷(解析版) 题型:解答题

(本题满分12分)设命题:函数上是增函数,命题,如果是假命题,是真命题,求的取值范围.

查看答案和解析>>

科目:高中数学 来源:2016届黑龙江省牡丹江市高三10月月考文科数学试卷(解析版) 题型:填空题

如图,已知正方形ABCD的边长为1,E在CD延长线上,且DE=CD.动点P从点A出发沿正方形ABCD的边按逆时针方向运动一周回到A点,其中,则下列命题正确的是(填上所有正确命题的序号)

②当点P为AD中点时,

的最大值为3;

④若,则点P有且只有一个;

的最大值为1.

查看答案和解析>>

科目:高中数学 来源:2016届黑龙江省高三第一阶段考试理科数学试卷(解析版) 题型:选择题

时,不等式恒成立,则实数a的取值范围是( )

A. B. C. D. [来

查看答案和解析>>

科目:高中数学 来源:2016届河北省高三上学期三调考试文科数学试卷(解析版) 题型:选择题

是函数的两个不同的零点,且这三个数可适当排序后成等差数列,也可适当排序后成等比数列,则的值等于( )

A.1 B.5 C.9 D.4

查看答案和解析>>

科目:高中数学 来源:2016届河北省高三二调文科数学试卷(解析版) 题型:填空题

不等式对任意实数恒成立,则实数的最大值为

查看答案和解析>>

科目:高中数学 来源:2016届河北省高三二调理科数学试卷(解析版) 题型:选择题

已知锐角的一个内角,是三角形中各角的对应边,若,则下列各式正确的是( )

A. B. C. D.

查看答案和解析>>

科目:高中数学 来源:2016届山东省乳山市高三10月月考理科数学试卷(解析版) 题型:选择题

曲线在点处的切线与坐标轴所围三角形的面积为( )

A. B. C. D.

查看答案和解析>>

科目:高中数学 来源:2015-2016学年广东省清远市实验学校高一10月月考数学试卷A(解析版) 题型:填空题

;若

查看答案和解析>>

同步练习册答案