精英家教网 > 高中数学 > 题目详情
如图,在以点O为圆心,|AB|=4为直径的半圆ADB中,OD⊥AB,P是半圆弧上一点,∠POB=30°,曲线C是满足||MA|-|MB||为定值的动点M的轨迹,且曲线C过点P。
(1)建立适当的平面直角坐标系,求曲线C的方程;
(2)设过点D的直线l与曲线C相交于不同的两点E、F,若△OEF的面积不小于2,求直线l斜率的取值范围。
解:(1)以O为原点,AB、OD所在直线分别为x轴、y轴,建立平面直角坐标系,则A(-2,0),B(2,0),D(0,2),P(学科网(www.zxxk.com)--国内最大的教育资源门户,提供试卷、教案、课件、论文、素材及各类教学资源下载,还有大量而丰富的教学相关资讯!),依题意得
|MA|-|MB|=|PA|-|PB|=
<|AB|=4
∴曲线C是以原点为中心,A、B为焦点的双曲线
设实半轴长为a,虚半轴长为b,半焦距为c,
则c=2,2a=2
∴a2=2,b2=c2-a2=2
∴曲线C的方程为
(2)依题意,可设直线l的方程为y=kx+2,代入双曲线C的方程并整理得
(1-k2)x2-4kx-6=0 ①
∵直线l与双曲线C相交于不同的两点E、F,

∴k∈(-,-1)∪(-1,1)∪(1,)②
设E(x1,y1),F(x2,y2),
则由①式得x1+x2=
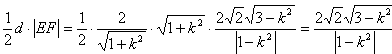
于是|EF|=
=
而原点O到直线l的距离d=
∴S△DEF=
若△OEF面积不小于2,即S△OEF,则有
解得
综合②、③知,直线l的斜率的取值范围为[-,-1]∪(-1,1)∪(1,)。
练习册系列答案
相关习题

科目:高中数学 来源: 题型:

精英家教网如图,在以点O为圆心,|AB|=4为直径的半圆ADB中,OD⊥AB,P是半圆弧上一点,∠POB=30°,曲线C是满足||MA|-|MB||为定值的动点M的轨迹,且曲线C过点P.
(Ⅰ)建立适当的平面直角坐标系,求曲线C的方程;
(Ⅱ)设过点D的直线l与曲线C相交于不同的两点E、F.若△OEF的面积不小于2
2
,求直线l斜率的取值范围.

查看答案和解析>>

科目:高中数学 来源: 题型:

如图,在以点O为圆心,AB为直径的半圆中,D为半圆弧的中心,P为半圆弧上一点,且AB=4,∠POB=30°,双曲线C以A,B为焦点且经过点P.
(1)建立适当的平面直角坐标系,求双曲线C的方程;
(2)设过点D的直线l与双曲线C相交于不同两点E、F,若△OEF的面积不小于2
2
,求直线l的斜率的取值范围.

查看答案和解析>>

科目:高中数学 来源: 题型:

如图,在以点O为圆心,AB为直径的半圆中,D为半圆弧的中点, P为半圆弧上一点,且AB=4,∠POB=30°,双曲线C以A,B为焦点且经过点P.

(Ⅰ)建立适当的平面直角坐标系,求双曲线C的方程;

(Ⅱ)设过点D的直线l与双曲线C相交于不同两点E、F,

若△OEF的面积不小于2,求直线l的斜率的取值范围.

查看答案和解析>>

科目:高中数学 来源:2009-2010学年湖南师大附中高三(上)第三次月考数学试卷(理科)(解析版) 题型:解答题

如图,在以点O为圆心,|AB|=4为直径的半圆ADB中,OD⊥AB,P是半圆弧上一点,∠POB=30°,曲线C是满足||MA|-|MB||为定值的动点M的轨迹,且曲线C过点P.
(Ⅰ)建立适当的平面直角坐标系,求曲线C的方程;
(Ⅱ)设过点D的直线l与曲线C相交于不同的两点E、F.若△OEF的面积不小于,求直线l斜率的取值范围.

查看答案和解析>>

科目:高中数学 来源:2008年普通高等学校招生全国统一考试理科数学(湖北卷) 题型:解答题

(本小题满分13分)

如图,在以点O为圆心,|AB|=4为直径的半圆ADB中,ODABP是半圆弧上一点,

POB=30°,曲线C是满足||MA|-|MB||为定值的动点M的轨迹,且曲线C过点P

(Ⅰ)建立适当的平面直角坐标系,求曲线C的方程;

(Ⅱ)设过点D的直线l与曲线C相交于不同的两点EF。若△OEF的面积不小于2,求直线l斜率的取值范围。

 

查看答案和解析>>

同步练习册答案