精英家教网 > 高中数学 > 题目详情

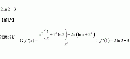
已知,求__________.

练习册系列答案
相关习题

科目:高中数学 来源:2015-2016学年甘肃省高一上二段段中考试数学卷(解析版) 题型:解答题

设函数,函数,且的图象过点

(1)求的表达式;

(2)求函数的定义域和值域.

查看答案和解析>>

科目:高中数学 来源:2015-2016学年青海省西宁市高一上期中数学试卷(解析版) 题型:选择题

函数的零点所在的一个区间是( )

A. B. C. D.

查看答案和解析>>

科目:高中数学 来源:2015-2016学年河南省高一12月月考数学试卷(解析版) 题型:解答题

已知函数)是偶函数.

(Ⅰ)求的值;

(Ⅱ)若函数,是否存在实数使得最小值为,若存在,求出的值; 若不存在,请说明理由.

查看答案和解析>>

科目:高中数学 来源:2015-2016学年江西省高二上第三次理科数学试卷(解析版) 题型:填空题

已知“”是“”的充分不必要条件,则k的取值范围是________.

查看答案和解析>>

科目:高中数学 来源:2016届宁夏吴忠中学高三上学期第四次月考理科数学试卷(解析版) 题型:解答题

如图,四棱锥,平面⊥平面,△是边长为2的等边三角形,底面是矩形,且

(1)若点的中点,求证:平面

(2)试问点在线段上什么位置时,二面角的大小为

查看答案和解析>>

科目:高中数学 来源:2016届宁夏吴忠中学高三上学期第四次月考文科数学试卷(解析版) 题型:填空题

已知上一点,为抛物线焦点,上,则的最小值

查看答案和解析>>

科目:高中数学 来源:2015-2016学年湖南省衡阳市高二上期中理科数学试卷(解析版) 题型:解答题

如图,直三棱柱中,为等腰直角三角形,,且.分别为的中点.

(1)求证:

(2)求二面角的余弦值.

查看答案和解析>>

科目:高中数学 来源:2015-2016学年湖南省、攸县一中高二上期中理科数学试卷(解析版) 题型:选择题

等比数列的前项和为,已知,则( )

A. B . C. D.

查看答案和解析>>

同步练习册答案