精英家教网 > 高中数学 > 题目详情

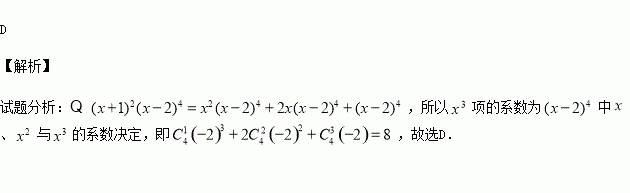
的展开式中含项的系数为( )

A. B. C. D.

练习册系列答案
相关习题

科目:高中数学 来源:2015-2016学年重庆十一中高一下期中理科数学试卷(解析版) 题型:选择题

中,角的对边分别是,已知,则的外接圆半径是( )

A. B. C. D.

查看答案和解析>>

科目:高中数学 来源:2015-2016学年河南新乡一中高二重点下七次周练理数学卷(解析版) 题型:选择题

已知不等式对任意实数都成立,则常数的最小值为( )

A. B. C. D.

查看答案和解析>>

科目:高中数学 来源:2015-2016学年河南新乡一中高二普通下七次周练理数学卷(解析版) 题型:填空题

直线被圆 所截得的弦长为

查看答案和解析>>

科目:高中数学 来源:2015-2016学年河南新乡一中高二普通下七次周练理数学卷(解析版) 题型:选择题

已知函数对任意的满足(其中是函数的导函数),则下列不等式成立的是( )

A. B. C. D.

查看答案和解析>>

科目:高中数学 来源:2015-2016学年河南新乡一中高二普通下七次周练理数学卷(解析版) 题型:选择题

已知,下列所给出的不能表示点的坐标的是( )

A. B. C. D.

查看答案和解析>>

科目:高中数学 来源:2015-2016学年河北省高一下期中数学试卷(解析版) 题型:解答题

实数满足,其中实数满足

(1)若,且为真,求实数的取值范围;

(2)若的充分不必要条件,求实数的取值范围.

查看答案和解析>>

科目:高中数学 来源:2015-2016学年河北省高一下期中数学试卷(解析版) 题型:选择题

”是“”的( )

A.充分不必要条件

B.必要不充分条件

C.充要条件

D.既不充分也不必要条件

查看答案和解析>>

科目:高中数学 来源:2015-2016学年山西省高二5月月考理科数学试卷(解析版) 题型:选择题

已知离散型随机变量X等可能取值1,2,3,…,n,若P(1≤X≤3)=,则n的值为( )

A.3 B.5 C.10 D.15

查看答案和解析>>

同步练习册答案