精英家教网 > 高中数学 > 题目详情

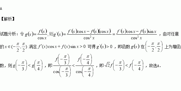
已知函数对任意的满足(其中是函数的导函数),则下列不等式成立的是( )

A. B. C. D.

练习册系列答案
相关习题

科目:高中数学 来源:2015-2016学年重庆十一中高一下期中理科数学试卷(解析版) 题型:选择题

甲船在岛B的正南A处,AB=10千米,甲船以每小时8千米的速度向正北航行,同时乙船自B以每小时12千米的速度向北偏东60°的方向驶去,当甲、乙两船相距最近时,它们所航行的时间是( )

A.分钟 B.小时 C.10.75分钟 D.2.15分钟

查看答案和解析>>

科目:高中数学 来源:2015-2016学年河南新乡一中高二重点下七次周练理数学卷(解析版) 题型:填空题

已知曲线的极坐标方程分别为,则曲线 交点的极坐标为 ________.

查看答案和解析>>

科目:高中数学 来源:2015-2016学年河南新乡一中高二普通下七次周练理数学卷(解析版) 题型:解答题

已知f(x)=|x﹣1|+|2x+3|.

(1)若f(x)≥m对一切x∈R都成立,求实数m的取值范围;

(2)解不等式f(x)≤4.

查看答案和解析>>

科目:高中数学 来源:2015-2016学年河南新乡一中高二普通下七次周练理数学卷(解析版) 题型:填空题

已知曲线的极坐标方程分别为,则曲线 交点的极坐标为 ________.

查看答案和解析>>

科目:高中数学 来源:2015-2016学年河南新乡一中高二普通下七次周练理数学卷(解析版) 题型:选择题

的展开式中含项的系数为( )

A. B. C. D.

查看答案和解析>>

科目:高中数学 来源:2015-2016学年河北省高一下期中数学试卷(解析版) 题型:解答题

设函数(其中常数).

(1)已知函数处取得极值,求的值;

(2)已知不等式对任意都成立,求实数的取值范围.

查看答案和解析>>

科目:高中数学 来源:2015-2016学年河北省高一下期中数学试卷(解析版) 题型:选择题

已知函数是定义在R上的偶函数, 且在区间单调递增. 若实数满足, 则的最小值是( )

A. B.1 C. D.2

查看答案和解析>>

科目:高中数学 来源:2015-2016学年山西省高二5月月考理科数学试卷(解析版) 题型:选择题

在所有的两位数中,个位数字大于十位数字的两位数共有( )个

A.50 B.45 C.36 D.35

查看答案和解析>>

同步练习册答案