精英家教网 > 高中数学 > 题目详情

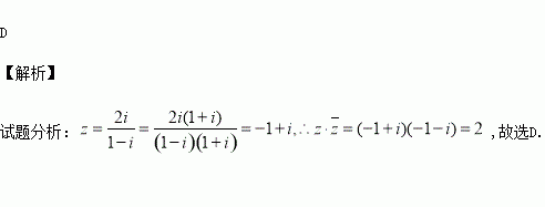
已知复数的共轭复数,则的值为( )

A. B. C. D.

练习册系列答案
相关习题

科目:高中数学 来源:2016届山东省高三最后一模理科数学试卷(解析版) 题型:选择题

命题,命题,则什么条件( )

A.充分非必要条件 B.必要非充分条件

C.必要充分条件 D.非充分非必要条件

查看答案和解析>>

科目:高中数学 来源:2015-2016学年江西玉山一中高一下第三次考试理科数学卷(解析版) 题型:选择题

在数列中,,则( )

A. B. C. D.

查看答案和解析>>

科目:高中数学 来源:205-2016学年吉林省高二下期中理科数学试卷(解析版) 题型:填空题

的展开式中含的项的系数为

查看答案和解析>>

科目:高中数学 来源:205-2016学年吉林省高二下期中理科数学试卷(解析版) 题型:选择题

有一段演绎推理是这样的:“若一条直线平行于一个平面,则此直线平行于这个平面内的所有直线”.已知直线平面,直线平面,则直线直线”.你认为这个推理( )

A.结论正确 B.大前提错误 C.小前提错误 D.推理形式错误

查看答案和解析>>

科目:高中数学 来源:2016届湖南长沙长郡中学高考原创十一文科数学试卷(解析版) 题型:解答题

已知椭圆的焦距为, 且过点,其长轴的左右两个端点分别为,直线交椭圆于两点.

(1)求椭圆标准的方程;

(2)设直线的斜率分别为,若的值.

查看答案和解析>>

科目:高中数学 来源:2016届湖南长沙长郡中学高考原创十一文科数学试卷(解析版) 题型:填空题

函数的极值点为,则

查看答案和解析>>

科目:高中数学 来源:2015-2016学年湖北省高二5月月考文科数学试卷(解析版) 题型:解答题

给出两个命题:命题甲:关于的不等式的解集为,命题乙:函数为增函数.分别求出符合下列条件的实数的取值范围.

(1)甲、乙至少有一个是真命题;

(2)甲、乙中有且只有一个是真命题.

查看答案和解析>>

科目:高中数学 来源:2015-2016学年广东惠州一中高二下期中文科数学试卷(解析版) 题型:解答题

已知曲线的参数方程为,曲线的极坐标方程为.以极点为坐标原点,极轴为轴正半轴建立平面直角坐标系.

(1)求曲线的直角坐标方程;

(2)求曲线上的动点到曲线的距离的最大值.

查看答案和解析>>

同步练习册答案