精英家教网 > 高中数学 > 题目详情

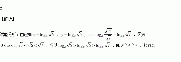
已知,则( )

A. B. C. D.

练习册系列答案
相关习题

科目:高中数学 来源:2017届河北武邑中学高三上学期周考9.4数学(文)试卷(解析版) 题型:填空题

已知函数,满足对任意,都有成立,则的取值范围是 .

查看答案和解析>>

科目:高中数学 来源:2017届湖北武汉市高三上学期起点考试数学(理)试卷(解析版) 题型:选择题

计算可采用如图所示的算法,则图中①处应填的语句是( )

A. B. C. D.

查看答案和解析>>

科目:高中数学 来源:2017届河北武邑中学高三上学期第一次调研数学(文)试卷(解析版) 题型:填空题

已知函数的值域为,则的和为

查看答案和解析>>

科目:高中数学 来源:2017届河北武邑中学高三上学期第一次调研数学(文)试卷(解析版) 题型:选择题

已知集合,则等于( )

A. B. C. D.

查看答案和解析>>

科目:高中数学 来源:2017届河北武邑中学高三上学期第一次调研数学(理)试卷(解析版) 题型:解答题

,其中,曲线在点处的切线与轴相交于点

(1)确定的值;

(2)求函数的单调区间与极值.

查看答案和解析>>

科目:高中数学 来源:2017届河北武邑中学高三上学期第一次调研数学(理)试卷(解析版) 题型:选择题

是定义在上的偶函数,,都有,且当时,,若函数)在区间内恰有三个不同零点,则实数的取值范围是( )

A. B.

C. D.

查看答案和解析>>

科目:高中数学 来源:2017届安徽六安一中高三上学期开学考试数学(文)试卷(解析版) 题型:解答题

设数列满足.

(1)求数列的通项公式;

(2)若数列,求数列的前项和.

查看答案和解析>>

科目:高中数学 来源:2016-2017学年湖北襄阳五中高二上开学考数学(理)试卷(解析版) 题型:解答题

的内角A,B,C的对边分别为a,b,c,已知

(1)求C;

(2)若的面积为,求的周长.

查看答案和解析>>

同步练习册答案