精英家教网 > 高中数学 > 题目详情

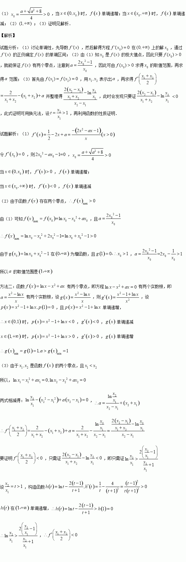
已知函数是函数的两个零点,且

(1)讨论函数的单调性;

(2)求的取值范围;

(3)设是函数的导函数,求证

练习册系列答案
相关习题

科目:高中数学 来源:2015-2016学年贵州遵义一中高一下第二次联考数学试卷(解析版) 题型:解答题

中,角的对边分别为,若有成立.

(1)求的大小;

(2)若,求的面积.

查看答案和解析>>

科目:高中数学 来源:2016届山西省榆林市高三二模理科数学试卷(解析版) 题型:选择题

为了解某社区居民的家庭年收入与年支出的关系,随机调查了该社区5户家庭,得到如下统计数据表:

收入(万元)

8.2

8.6

10.0

11.3

11.9

支出(万元)

6.2

7.5

8.0

8.5

9.8

根据上表可得回归直线方程,据此估计,该社区一户收入为15万元家庭年支出为( )

A.11.4万元 B.11.8万元 C.12.0万元 D.12.2万元

查看答案和解析>>

科目:高中数学 来源:2016届吉林省高三五模文科数学试卷(解析版) 题型:选择题

下列函数中,在定义域内是偶函数,且值域为的是( )

A. B. C. D.

查看答案和解析>>

科目:高中数学 来源:2016届吉林省高三五模文科数学试卷(解析版) 题型:选择题

复数满足是虚数单位),则的共轭复数在复平面内对应的点是( )

A. B. C. D.

查看答案和解析>>

科目:高中数学 来源:2016届吉林省高三五模理科数学试卷(解析版) 题型:填空题

已知动点在棱长为1的正方体的表面上运动,且,记点的轨迹长度为,给出以下四个命题:

①函数上是增函数;②;③;④

其中为真命题的是 .(写出所有真命题的序号)

查看答案和解析>>

科目:高中数学 来源:2016届吉林省高三五模理科数学试卷(解析版) 题型:选择题

某四棱锥的三视图如图所示,则该四棱锥的体积为( )

A.2 B. C.3 D.

查看答案和解析>>

科目:高中数学 来源:2015-2016学年贵州遵义一中高二下联考理科数学试卷(解析版) 题型:填空题

已知变量满足约束条件,若恒成立,则实数的取值范围为_________.

查看答案和解析>>

科目:高中数学 来源:2016届安徽省高三最后一卷理科数学试卷(解析版) 题型:解答题

已知函数

(1)若,求曲线在点处的切线方程;

(2)若函数有两个极值点,求证:

查看答案和解析>>

同步练习册答案