精英家教网 > 高中数学 > 题目详情

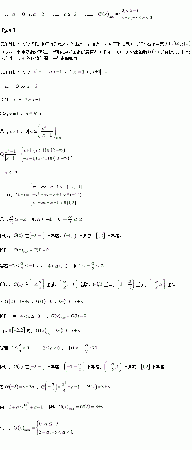
已知函数

(I)若有且仅有两个不同的解,求的值;

(II)若当时,不等式恒成立,求实数的取值范围;

(III)若时,求上的最大值.

练习册系列答案
相关习题

科目:高中数学 来源:2015-2016学年河南新乡一中高二普通下七次周练理数学卷(解析版) 题型:选择题

若直线L的参数方程为为参数),则直线L的倾斜角的余弦值为( )

A. B. C. D.

查看答案和解析>>

科目:高中数学 来源:2015-2016学年贵州思南中学高二下期中理科数学试卷(解析版) 题型:选择题

函数的大致图象为( )

查看答案和解析>>

科目:高中数学 来源:2015-2016学年山西省高二5月月考理科数学试卷(解析版) 题型:填空题

三元一次方程x+y+z=13的非负整数解的个数有_____.

查看答案和解析>>

科目:高中数学 来源:2015-2016学年山西省高二5月月考理科数学试卷(解析版) 题型:选择题

10件产品,其中3件是次品,任取2件,若ξ表示取到次品的个数,则E(ξ)等于( )

A. B. C. D.1

查看答案和解析>>

科目:高中数学 来源:2015-2016学年宁夏石嘴山三中高二下期中文科数学试卷(解析版) 题型:解答题

命题p:关于x的不等式x2+2ax+4>0,对一切x∈R恒成立,命题q:函数是增函数,若为真, 为假,求实数a的取值范围.

查看答案和解析>>

科目:高中数学 来源:2015-2016学年宁夏石嘴山三中高二下期中文科数学试卷(解析版) 题型:选择题

函数的图象是( )

查看答案和解析>>

科目:高中数学 来源:2015-2016学年河北邢台一中高二下期中文科数学试卷(解析版) 题型:填空题

已知,则的最小值为 .

查看答案和解析>>

科目:高中数学 来源:2015-2016学年重庆一中高一下学期期中数学试卷(解析版) 题型:解答题

中,角对边分别为,角,且.

(1)证明:

(2)若面积为1,求边的长.

查看答案和解析>>

同步练习册答案