精英家教网 > 高中数学 > 题目详情

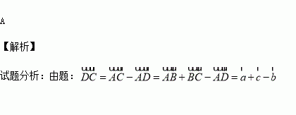
如图,在四边形中,设,则 ( )

A、 B、

C、 D、

练习册系列答案
相关习题

科目:高中数学 来源:2015-2016学年天津市等六校高一上期末数学试卷(解析版) 题型:选择题

函数的大致图象是( )

查看答案和解析>>

科目:高中数学 来源:2015-2016学年上海市高二上学期期末考试数学试卷(解析版) 题型:填空题

若点在直线上的射影是,则的轨迹方程是 .

查看答案和解析>>

科目:高中数学 来源:2015-2016学年湖北省孝感市六校高一上期末文科数学试卷(解析版) 题型:填空题

某地一天中6时至14时的温度变化曲线近似满足函数T=Asin(ωt+φ)+B (其中<φ<π)6时至14时期间的温度变化曲线如图所示,它是上述函数的半个周期的图象,那么图中曲线对应的函数解析式是

查看答案和解析>>

科目:高中数学 来源:2015-2016学年湖北省孝感市六校高一上期末文科数学试卷(解析版) 题型:选择题

将函数的图象经过怎样的平移,可以得到函数的图象( )

A.向左平移个单位 B.向左平移个单位

C.向右平移个单位 D.向右平移个单位

查看答案和解析>>

科目:高中数学 来源:2015-2016学年山东省高二3月月考文科数学试卷(解析版) 题型:解答题

某公司为了了解某地区电视观众对某类体育节目的收视情况随机抽取了100名观众进行调查,其中女性有55名.如图是根据调查结果绘制的观众日均收看该体育节目时间的频率分布直方图.将日均收看该体育节目时间不低于40分钟的观众称为“体育迷”,已知“体育迷”中有10名女性.

(1)根据已知条件完成下面的列联表,并据此资料你是否认为“体育迷”与性别有关?

(2)将日均收看该体育节目不低于50分钟的观众称为“超级体育迷”,已知“超级体育迷”中有2名女性,若从“超级体育迷”中任意选取2人,求至少有1名女性观众的概率.

查看答案和解析>>

科目:高中数学 来源:2015-2016学年山东省高二3月月考文科数学试卷(解析版) 题型:填空题

对于定义在数集R上的函数,如果存在实数,使,则叫作函数的一个不动点.已知不存在不动点,那么的取值范围是

查看答案和解析>>

科目:高中数学 来源:2015-2016学年北京市西城区高二上学期期末考试文科数学试卷(解析版) 题型:解答题

如图,已知圆心为的圆经过原点

(Ⅰ)求圆的方程;

(Ⅱ)设直线与圆交于两点.若,求的值.

查看答案和解析>>

科目:高中数学 来源:2015-2016学年北京市东城区高二上学期期末考试文科数学试卷(解析版) 题型:填空题

如图所示,正方体的棱长为1,,M是线段上的动点,过点M作平面的垂线交平面于点N,则点N到点A距离的最小值为__________。

查看答案和解析>>

同步练习册答案