精英家教网 > 高中数学 > 题目详情

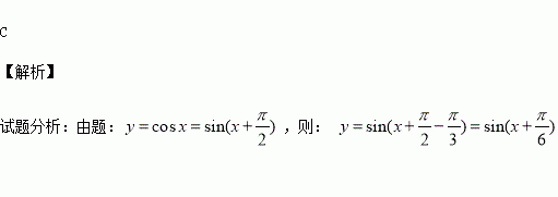
将函数的图象经过怎样的平移,可以得到函数的图象( )

A.向左平移个单位 B.向左平移个单位

C.向右平移个单位 D.向右平移个单位

练习册系列答案
相关习题

科目:高中数学 来源:2015-2016学年天津市等六校高一上期末数学试卷(解析版) 题型:填空题

函数的单调递增区间为 .

查看答案和解析>>

科目:高中数学 来源:2015-2016学年上海市高二上学期期末考试数学试卷(解析版) 题型:选择题

已知曲线),下列叙述中正确的是( )

A.垂直于轴的直线与曲线存在两个交点

B.直线)与曲线最多有三个交点

C.曲线关于直线对称

D.若为曲线上任意两点,则有

查看答案和解析>>

科目:高中数学 来源:2015-2016学年湖北省孝感市六校高一上期末文科数学试卷(解析版) 题型:解答题

已知函数f(x)=2sin xcos x-cos2x.

(1)求f(x)的最小正周期和单调递增区间;

(2)当x∈时,求函数f(x)的最大值和最小值。

查看答案和解析>>

科目:高中数学 来源:2015-2016学年湖北省孝感市六校高一上期末文科数学试卷(解析版) 题型:填空题

圆的半径为6 ,则15°的圆心角所对的弧长为 ,扇形面积为 .(用π表示)

查看答案和解析>>

科目:高中数学 来源:2015-2016学年湖北省孝感市六校高一上期末文科数学试卷(解析版) 题型:选择题

如图,在四边形中,设,则 ( )

A、 B、

C、 D、

查看答案和解析>>

科目:高中数学 来源:2015-2016学年山东省高二3月月考文科数学试卷(解析版) 题型:解答题

在研究高血压与患心脏病的关系调查中,调查了高血压患者30人,其中有20人患心脏病,调查的不患高血压的80人中,有30人患心脏病.

(I)根据以上的数据建立一个的列联表;

(II)判断高血压与患心脏病之间在多大程度上有关系?

查看答案和解析>>

科目:高中数学 来源:2015-2016学年山东省高二3月月考文科数学试卷(解析版) 题型:选择题

设复数,则在复平面内对应的点位于( )

A.第一象限 B.第二象限 C.第三象限 D.第四象限

查看答案和解析>>

科目:高中数学 来源:2015-2016学年北京市东城区高二上学期期末考试文科数学试卷(解析版) 题型:解答题

已知椭圆的长轴长为,离心率,过右焦点F的直线交椭圆于P,Q两点。

(Ⅰ)求椭圆的方程;

(Ⅱ)当直线的斜率为1时,求△POQ的面积;

(Ⅲ)若以OP,OQ为邻边的平行四边形是矩形,求满足该条件的直线的方程。

查看答案和解析>>

同步练习册答案