精英家教网 > 高中数学 > 题目详情

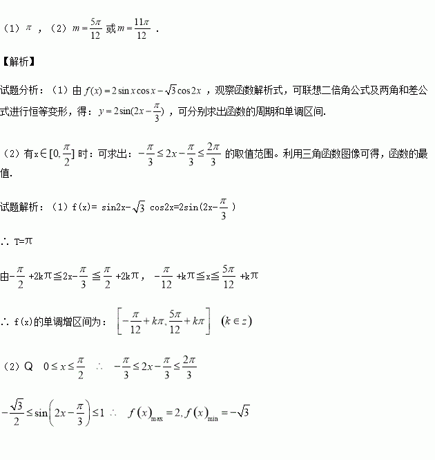
已知函数f(x)=2sin xcos x-cos2x.

(1)求f(x)的最小正周期和单调递增区间;

(2)当x∈时,求函数f(x)的最大值和最小值。

练习册系列答案
相关习题

科目:高中数学 来源:2016届陕西西北工大附中高三下第六次训练理数学卷(解析版) 题型:选择题

一个正方体被一个平面截去一部分后,剩余部分的三视图如右图,则截去部分体积与剩余部分体积的比值为( )

A. B. C. D.

查看答案和解析>>

科目:高中数学 来源:2015-2016学年福建省高一上学期期末考试数学试卷(解析版) 题型:选择题

如图,在棱长为2的正方体ABCD-A1B1C1D1中,O是底面ABCD的中心,M,N分别是棱DD1,D1C1的中点,则直线OM( )

A.与AC,MN均垂直相交

B.与AC垂直,与MN不垂直

C.与MN垂直,与AC不垂直

D.与AC,MN均不垂直

查看答案和解析>>

科目:高中数学 来源:2015-2016学年上海市高二上学期期末考试数学试卷(解析版) 题型:填空题

若点在直线上的射影是,则的轨迹方程是 .

查看答案和解析>>

科目:高中数学 来源:2015-2016学年上海市高二上学期期末考试数学试卷(解析版) 题型:填空题

已知直线与圆相切,则的值为__ ___.

查看答案和解析>>

科目:高中数学 来源:2015-2016学年湖北省孝感市六校高一上期末文科数学试卷(解析版) 题型:填空题

某地一天中6时至14时的温度变化曲线近似满足函数T=Asin(ωt+φ)+B (其中<φ<π)6时至14时期间的温度变化曲线如图所示,它是上述函数的半个周期的图象,那么图中曲线对应的函数解析式是

查看答案和解析>>

科目:高中数学 来源:2015-2016学年湖北省孝感市六校高一上期末文科数学试卷(解析版) 题型:选择题

将函数的图象经过怎样的平移,可以得到函数的图象( )

A.向左平移个单位 B.向左平移个单位

C.向右平移个单位 D.向右平移个单位

查看答案和解析>>

科目:高中数学 来源:2015-2016学年山东省高二3月月考文科数学试卷(解析版) 题型:填空题

对于定义在数集R上的函数,如果存在实数,使,则叫作函数的一个不动点.已知不存在不动点,那么的取值范围是

查看答案和解析>>

科目:高中数学 来源:2015-2016学年北京市西城区高二上学期期末考试理科数学试卷(解析版) 题型:填空题

如图,正方体中,直线所成角的大小为_______;直线和平面所成角的大小为_______.

查看答案和解析>>

同步练习册答案