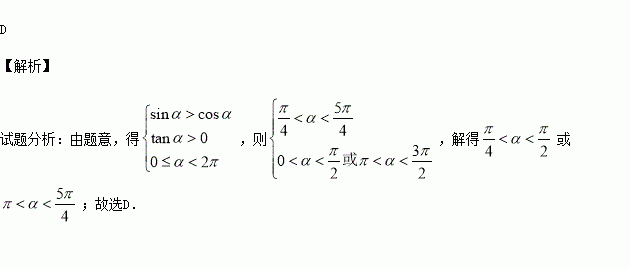
精英家教网 > 高中数学 > 题目详情

若点在第一象限,则在的取值范围是( )

A. B.

C. D.

练习册系列答案
相关习题

科目:高中数学 来源:2015-2016学年福建省高二下期中文科数学试卷(解析版) 题型:选择题

中,角所对的边长分别为,若,则( )

A. B.

C. D.的大小关系不能确定

查看答案和解析>>

科目:高中数学 来源:2016届山西省等四校高三下第四次联考理科数学试卷(解析版) 题型:填空题

已知函数的图象如图所示,它与轴在原点相切,且轴与函数图象所围成的区域(如图阴影部分)的面积为,则的值为_________

查看答案和解析>>

科目:高中数学 来源:2015-2016学年宁夏高一下第二次月考数学试卷(解析版) 题型:解答题

从某企业生产的某种产品中抽取100件,测量这些产品的一项质量指标值,由测量表得如下频数分布表:

(1)在答题卡上作出这些数据的频率分布直方图;

(2)估计这种产品质量指标值的平均数;

(3)根据以下抽样调查数据,能否认为该企业生产的这种产品符合“质量指标值不低于95的产品至少要占全部产品的80%”的规定?

查看答案和解析>>

科目:高中数学 来源:2015-2016学年宁夏高一下第二次月考数学试卷(解析版) 题型:填空题

已知,且,则向量的坐标为___________.

查看答案和解析>>

科目:高中数学 来源:2015-2016学年宁夏高一下第二次月考数学试卷(解析版) 题型:选择题

一个扇形的弧长与面积的数值都是6,这个扇形中心角的弧度数是( )

A.1 B.2 C.3 D.4

查看答案和解析>>

科目:高中数学 来源:2015-2016学年四川省高二下期中文科数学试卷(解析版) 题型:解答题

已知双曲线的实轴长为,一个焦点的坐标为.

(1)求双曲线的方程;

(2)若斜率为2的直线交双曲线交于两点,且,求直线的方程.

查看答案和解析>>

科目:高中数学 来源:2015-2016学年四川省高二下期中文科数学试卷(解析版) 题型:选择题

椭圆上一点到焦点的距离等于6,则点到另一个焦点的距离为( )

A.10 B.8 C.4 D.3

查看答案和解析>>

科目:高中数学 来源:2015-2016学年西藏日喀则一中高二4月月考文科数学试卷(解析版) 题型:选择题

椭圆的两个焦点为,过作垂直于轴的直线与椭圆相交,为一个交点,则( )

A. B. C. D.4

查看答案和解析>>

同步练习册答案