精英家教网 > 高中数学 > 题目详情
已知函数f(x)=-2x,g(x)=logax(a>0,且a≠1),其中a为常数.如果h(x)=f(x)+g(x)是增函数,且h(x)存在零点(h(x)为h(x)的导函数).
(1)求a的值;
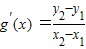
(2)设A(x1,y1)、B(x2,y2)(x1<x2)是函数y=g(x)的图象上两点,(g(x)为g(x)的导函数),证明:x1<x<x2
【答案】分析:(1)把f(x)和g(x)代入得到h(x),求出h′(x),因为h(x)是增函数,所以h′(x)≥0,根据h(x)存在零点讨论a的取值为a>1,利用△=0求出a即可;
(2)由(1)求出g′(x),利用构造函数r(x),讨论函数的增减性,得到x1<x<x2
解答:解:(1)因为h(x)=x2-2x+logax (x>0),
所以h′(x)=x-2+=
因为h(x)在区间(0,+∞)上是增函数,
所以≥0在区间(0,+∞)上恒成立.
若0<a<1,则lna<0,于是x2lna-2xlna+1≤0恒成立.
又h′(x)存在正零点,故△=(-2lna)2-4lna=0,lna=0,或lna=1与lna<0矛盾.所以a>1.
由x2lna-2xlna+1≥0恒成立,又h′(x)存在正零点,故△=(-2lna)2-4lna=0,
所以lna=1,即a=e.
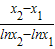
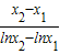
(2)由(1),g′(x)=,于是=,x=
以下证明x1(※)
(※)等价于x1lnx2-x1lnx1-x2+x1<0.
令r(x)=xlnx2-xlnx-x2+x
r′(x)=lnx2-lnx,在(0,x2]上,r′(x)>0,所以r(x)在(0,x2]上为增函数.
当x1<x2时,r(x1)<r(x2)=0,即x1lnx2-x1lnx1-x2+x1<0,
从而x>x1得到证明.
对于x2同理可证,所以x1<x<x2
点评:考查学生会进行导数的运算,理解函数零点的意义,会利用导数研究函数的单调性.
练习册系列答案
相关习题

科目:高中数学 来源: 题型:

已知函数f(x)=sinxcosφ+cosxsinφ(其中x∈R,0<φ<π).
(1)求函数f(x)的最小正周期;
(2)若函数y=f(2x+
π
4
)
的图象关于直线x=
π
6
对称,求φ的值.

查看答案和解析>>

科目:高中数学 来源: 题型:

已知函数f(x)为定义在R上的奇函数,且当x>0时,f(x)=(sinx+cosx)2+2cos2x,
(1)求x<0,时f(x)的表达式;
(2)若关于x的方程f(x)-a=o有解,求实数a的范围.

查看答案和解析>>

科目:高中数学 来源: 题型:

已知函数f(x)=aInx-ax,(a∈R)
(1)求f(x)的单调递增区间;(文科可参考公式:(Inx)=
1
x

(2)若f′(2)=1,记函数g(x)=x3+x2[f(x)+
m
2
]
,若g(x)在区间(1,3)上总不单调,求实数m的范围.

查看答案和解析>>

科目:高中数学 来源: 题型:

已知函数f(x)=x2-bx的图象在点A(1,f(1))处的切线l与直线3x-y+2=0平行,若数列{
1
f(n)
}
的前n项和为Sn,则S2010的值为(  )
A、
2011
2012
B、
2010
2011
C、
2009
2010
D、
2008
2009

查看答案和解析>>

科目:高中数学 来源: 题型:

已知函数f(x)是定义在区间(-1,1)上的奇函数,且对于x∈(-1,1)恒有f’(x)<0成立,若f(-2a2+2)+f(a2+2a+1)<0,则实数a的取值范围是
 

查看答案和解析>>

同步练习册答案