精英家教网 > 高中数学 > 题目详情

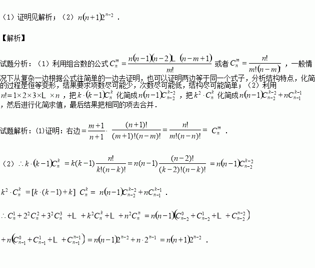
(1)求证:

(2)求和:

练习册系列答案
相关习题

科目:高中数学 来源:2016届山西省高三10月月考理科数学试卷(解析版) 题型:解答题

已知椭圆的离心率为,其左,右焦点分别为,点是坐标平面内一点,且,其中为坐标原点.

(1)求椭圆的方程;

(2)过点,且斜率为的动直线交椭圆于两点,在轴上是否存在定点,使以为直径的圆恒过这个定点?若存在,求出点的坐标;若不存在,请说明理由.

查看答案和解析>>

科目:高中数学 来源:2015-2016学年江西省吉安市高一上学期期中数学试卷(解析版) 题型:选择题

为R上的奇函数,给出下列四个说法:

,②,③,④

其中一定正确的有( )

A.①② B.①③ C.②③④ D.①③④

查看答案和解析>>

科目:高中数学 来源:2015-2016学年吉林省高一上期中文科数学试卷(解析版) 题型:选择题

的值等于 ( )

A.- B. C.- D.

查看答案和解析>>

科目:高中数学 来源:2015-2016学年湖北孝感高中高二上学期期中文科数学试卷(解析版) 题型:解答题

海关对同时从三个不同地区进口的某种商品进行抽样检测,从各地区进口此种商品的数量(单位:件)如下表所示,工作人员用分层抽样的方法从这些商品中共抽取6件进行检测.

地区

数量

50

150

100

(1)求这6件样品中来自各地区商品的数量;

(2)若在这6件样品中随机抽取2件送往甲机构进一步检测,求这2件商品来自相同地区的概率.

查看答案和解析>>

科目:高中数学 来源:2015-2016学年广东汕头金山中学高一上学期期中数学试卷(解析版) 题型:解答题

为实数,函数

(1)讨论的奇偶性;

(2)当时,求的最大值.

查看答案和解析>>

科目:高中数学 来源:2015-2016学年广东广州执信中学高一上学期期中数学试卷(解析版) 题型:解答题

设集合

(1)若,求

(2)若,求实数的取值范围.

查看答案和解析>>

科目:高中数学 来源:2016届江西省高三上第三次考试理科数学试卷(解析版) 题型:填空题

已知函数的定义域为, 若≥0恒成立,则a的值是

查看答案和解析>>

科目:高中数学 来源:2015-2016学年吉林长春十一中高一上学期期中文科数学卷(解析版) 题型:选择题

在直角坐标系中,一动点从点出发,沿单位圆(圆心在坐标原点半径为1的圆)圆周按逆时针方向运动弧长,到达点,则点的坐标为 ( )

A. B. C. D.

查看答案和解析>>

同步练习册答案