精英家教网 > 高中数学 > 题目详情

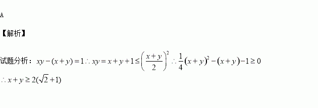
,则( )

A. B.

C. D.

练习册系列答案
相关习题

科目:高中数学 来源:2015-2016学年湖南省高二上学期期中文科数学试卷(解析版) 题型:选择题

△ABC中,AB=,AC=1,∠B=30°则△ABC的面积等于( )

A. B. C. D.

查看答案和解析>>

科目:高中数学 来源:2015-2016学年福建省高一上学期期中考试数学试卷(解析版) 题型:填空题

定义实数集的子集的特征函数为.若,对任意,有如下判断:

①若,则

其中正确的是 .(填上所有满足条件的序号)

查看答案和解析>>

科目:高中数学 来源:2014-2015学年上海市高二下学期期末考试数学试卷(解析版) 题型:填空题

已知抛物线,过定点作两条互相垂直的直线与抛物线交于两点,与抛物线交于两点,设的斜率为.若某同学已正确求得弦的中垂线在y轴上的截距为,则弦MN的中垂线在y轴上的截距为

查看答案和解析>>

科目:高中数学 来源:2015-2016学年重庆市高二上第一次月考理科数学试卷(解析版) 题型:选择题

在公比为的等比数列中,若,则的值是( )

A. B. C. D.

查看答案和解析>>

科目:高中数学 来源:2015-2016学年辽宁省大连市高二上期中文科数学试卷(解析版) 题型:选择题

焦点为,且与双曲线有相同的渐近线的双曲线方程是

(A) (B)

(C) (D)

查看答案和解析>>

科目:高中数学 来源:2015-2016学年辽宁省大连市高二上期中理科数学试卷(解析版) 题型:选择题

已知椭圆的长轴长是短轴长的倍,则椭圆的离心率等于

(A) (B) (C) (D)

查看答案和解析>>

科目:高中数学 来源:2015-2016学年江西省赣州市十三县高二上期中联考理科数学试卷(解析版) 题型:选择题

某林场有树苗30000棵,其中松树苗4000棵,为调查树苗的生长情况,采用分层抽样的方法抽取一个容量为150的样本,则样本中松树苗的数量为( )

A.30 B.25 C.20 D.15

查看答案和解析>>

科目:高中数学 来源:2016届重庆市高三上学期第三次月考理科数学试卷(解析版) 题型:填空题

设抛物线的焦点为两点在抛物线上,且三点共线,过的中点轴的垂线与抛物线在第一象限内交于点,若,则点的横坐标为

查看答案和解析>>

同步练习册答案