精英家教网 > 高中数学 > 题目详情

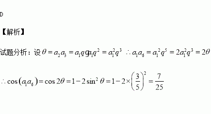
在公比为的等比数列中,若,则的值是( )

A. B. C. D.

练习册系列答案
相关习题

科目:高中数学 来源:2015-2016学年广东省清远市实验学校高二上学期期中数学试卷(解析版) 题型:选择题

在数列中,,则的值为 ( )

A.99 B.101 C.102 D.49

查看答案和解析>>

科目:高中数学 来源:2015-2016学年湖南省高二上学期期中考试理科数学试卷(解析版) 题型:填空题

已知满足,则的最大值为

查看答案和解析>>

科目:高中数学 来源:2015-2016学年福建省高二上学期期中考试理科数学试卷(解析版) 题型:选择题

已知实数,且满足,则的最小值是( )

A. B. C. D.4

查看答案和解析>>

科目:高中数学 来源:2014-2015学年上海市高二下学期期末考试数学试卷(解析版) 题型:填空题

若双曲线的渐近线方程为,它的一个焦点与抛物线的焦点重合,则双曲线的标准方程为

查看答案和解析>>

科目:高中数学 来源:2015-2016学年山东省临沂市高二上期中模拟理数学试卷(解析版) 题型:选择题

,则( )

A. B.

C. D.

查看答案和解析>>

科目:高中数学 来源:2015-2016学年辽宁省大连市高二上期中理科数学试卷(解析版) 题型:解答题

(本小题满分12分)

已知圆,圆心为,定点为圆上一点,线段的垂直平分线与直线交于点

(Ⅰ)求点的轨迹的方程;

(Ⅱ)过点的直线与曲线交于不同的两点,且满足为坐标原点),求弦长的取值范围.

查看答案和解析>>

科目:高中数学 来源:2015-2016学年江西省赣州市十三县高二上期中联考理科数学试卷(解析版) 题型:解答题

(本题12分)

已知数列的前项和为,向量,满足条件

(1)求数列的通项公式;

(2)设函数,数列满足条件

①求数列的通项公式;

②设,求数列的前项和

查看答案和解析>>

科目:高中数学 来源:2016届重庆市高三上学期第三次月考文科数学试卷(解析版) 题型:填空题

在等比数列中,若,则

查看答案和解析>>

同步练习册答案