精英家教网 > 高中数学 > 题目详情

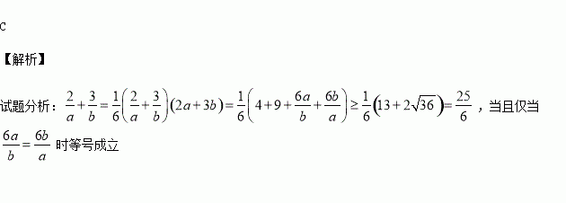
已知实数,且满足,则的最小值是( )

A. B. C. D.4

练习册系列答案
相关习题

科目:高中数学 来源:2015-2016学年江西铅山一中 、横峰中学高二上学期期中理科数学卷(解析版) 题型:解答题

(12分)已知二次函数f(x)=ax2+bx+1(a,b∈R,a>0),设方程f(x)=x的两个实数根为x1和x2.

(1)如果x1<2<x2<4,设二次函数f(x)的对称轴为x=x0,求证:x0>﹣1;

(2)如果|x1|<2,|x2﹣x1|=2,求b的取值范围.

查看答案和解析>>

科目:高中数学 来源:2015-2016学年吉林省扶余市高二上学期期中考试文科数学试卷(解析版) 题型:解答题

(本题满分12分)已知分别为三个内角的对边,

(1)求

(2)若的面积为;求

查看答案和解析>>

科目:高中数学 来源:2015-2016学年福建省高一上学期期中考试数学试卷(解析版) 题型:填空题

定义实数集的子集的特征函数为.若,对任意,有如下判断:

①若,则

其中正确的是 .(填上所有满足条件的序号)

查看答案和解析>>

科目:高中数学 来源:2015-2016学年福建省高二上学期期中考试文科数学试卷(解析版) 题型:选择题

设M=2a(a-2),N=(a+1)(a-3),则 ( )

A.M >N B.M ≥N C.M<N D.M≤N

查看答案和解析>>

科目:高中数学 来源:2014-2015学年上海市高二下学期期末考试数学试卷(解析版) 题型:填空题

已知抛物线,过定点作两条互相垂直的直线与抛物线交于两点,与抛物线交于两点,设的斜率为.若某同学已正确求得弦的中垂线在y轴上的截距为,则弦MN的中垂线在y轴上的截距为

查看答案和解析>>

科目:高中数学 来源:2015-2016学年重庆市高二上第一次月考理科数学试卷(解析版) 题型:选择题

在公比为的等比数列中,若,则的值是( )

A. B. C. D.

查看答案和解析>>

科目:高中数学 来源:2015-2016学年辽宁省大连市高二上期中理科数学试卷(解析版) 题型:选择题

已知椭圆的长轴长是短轴长的倍,则椭圆的离心率等于

(A) (B) (C) (D)

查看答案和解析>>

科目:高中数学 来源:2015-2016学年广东省普宁市高二上期中文科数学试卷(解析版) 题型:解答题

(本小题满分12分)

某人有3枚钥匙,其中只有一枚房门钥匙,但忘记了开房门的是哪一枚,于是,他逐枚不重复地试开,问:

(Ⅰ)恰好第三次打开房门锁的概率是多少?

(Ⅱ)两次内打开房门的概率是多少?

查看答案和解析>>

同步练习册答案