精英家教网 > 高中数学 > 题目详情

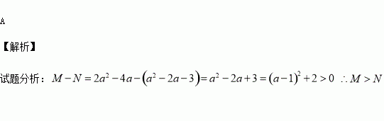
设M=2a(a-2),N=(a+1)(a-3),则 ( )

A.M >N B.M ≥N C.M<N D.M≤N

练习册系列答案
相关习题

科目:高中数学 来源:2015-2016学年陕西省西安市高二上学期期中考试理科数学试卷(解析版) 题型:选择题

若不等式的解集为,则不等式的解集为( )

A. B.

C. D.

查看答案和解析>>

科目:高中数学 来源:2015-2016学年吉林省扶余市高一上学期期中考试数学试卷(解析版) 题型:填空题

若定义在(-1,0)内的函数f (x)=log 2a (x+1)满足f (x)>0,则a的取值范围是________.

查看答案和解析>>

科目:高中数学 来源:2015-2016学年湖南省高二上学期期中考试理科数学试卷(解析版) 题型:填空题

已知满足,则的最大值为

查看答案和解析>>

科目:高中数学 来源:2015-2016学年福建省高一上学期期中考试数学试卷(解析版) 题型:选择题

这三个函数中,当时,都有成立的函数个数是( )

A.0 B.1 C.2 D.3

查看答案和解析>>

科目:高中数学 来源:2015-2016学年福建省高二上学期期中考试理科数学试卷(解析版) 题型:选择题

已知实数,且满足,则的最小值是( )

A. B. C. D.4

查看答案和解析>>

科目:高中数学 来源:2014-2015学年上海市高二下学期期末考试数学试卷(解析版) 题型:填空题

若双曲线的渐近线方程为,它的一个焦点与抛物线的焦点重合,则双曲线的标准方程为

查看答案和解析>>

科目:高中数学 来源:2015-2016学年辽宁省大连市高二上期中理科数学试卷(解析版) 题型:解答题

(本小题满分12分)

已知圆,圆心为,定点为圆上一点,线段的垂直平分线与直线交于点

(Ⅰ)求点的轨迹的方程;

(Ⅱ)过点的直线与曲线交于不同的两点,且满足为坐标原点),求弦长的取值范围.

查看答案和解析>>

科目:高中数学 来源:2015-2016学年河北省邢台市高二上第一次月考数学试卷(解析版) 题型:填空题

如图直三棱柱ABB1-DCC1中, BB1⊥AB, AB=4,BC=2,CC1=1,DC上有一动点P, 则△APC1周长的最小值是

查看答案和解析>>

同步练习册答案