精英家教网 > 高中数学 > 题目详情
已知函数
(Ⅰ)当m>0时,求函数的单调区间;
(Ⅱ)当m≥1时,曲线C:y=f(x)在点P(0,1)处的切线l与C有且只有一个公共点,求m的取值的集合M.
【答案】分析:根据函数f(x)的解析式求出f(x)的导函数,
(Ⅰ)把求出的导函数通分并分解因式后,由导函数的正负即可得到函数f(x)的单调区间;
(Ⅱ)由题意可知点P在曲线C上,把点P的横坐标代入导函数中求出的函数值即为切线方程的斜率,根据切点坐标和求出的斜率写出切线的方程,与曲线C的方程联立,消去y后得到关于x的一元二次方程只有一个解,设方程左边的式子等于g(x),且得到g(0)=0,求出g(x)的导函数,分m=1和m大于1两种情况考虑:当m=1时,代入得到g(x)的导函数大于等于0,即g(x)为增函数,符合题意;当m大于1时,根据导函数的正负讨论函数的单调性,进而得到函数在m大于1时有零点,不合题意,综上,得到满足题意m的取值范围.
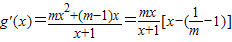
解答:解:由题设知:
(Ⅰ)当m>0时,

∴函数f(x)单调递增区间为
单调递减区间为
(Ⅱ)由题设知:P∈C,f'(0)=-1,切线l的方程为y=-x+1,
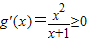
于是方程:,即有且只有一个实数根;
,得g(0)=0;

当m=1时,,g(x)为增函数,符合题设;
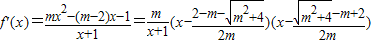
当m>1时,有,得x∈(0,+∞),
g'(x)>0,g(x)在此区间单调递增,g(x)>0;
在此区间单调递减,g(x)>0;
在此区间单调递增,
此区间存在零点,即得m>1不符合题设;
∴由上述知:M={1}.
点评:此题考查学生会利用导数求曲线上过某点切线方程的斜率,会利用导函数的正负判断函数的单调性,是一道中档题.
练习册系列答案
相关习题

科目:高中数学 来源: 题型:

(08年滨州市质检三文)(12分)已知函数.

   (I)当m>0时,求函数的单调递增区间;

   (II)是否存在小于零的实数m,使得对任意的,都有,若存在,求m的范围;若不存在,请说明理由.

查看答案和解析>>

科目:高中数学 来源:2013年陕西省西安市西工大附中高考数学四模试卷(文科)(解析版) 题型:解答题

已知函数
(Ⅰ)当m=2时,求曲线y=f(x)在点(1,f(1))处的切线方程;
(Ⅱ)当m=1时,判断方程f(x)=g(x)在区间(1,+∞)上有无实根.
(Ⅲ)若x∈(1,e]时,不等式f(x)-g(x)<2恒成立,求实数m的取值范围.

查看答案和解析>>

科目:高中数学 来源:2011-2012年辽宁盘锦二中高二下学期第二次阶段考试文科数学试卷(解析版) 题型:解答题

(本题满分12分)、已知函数

(1)当m=时,求f(x)的定义域

(2)试判断函数f(x)在区间上的单调性并给出证明。

(3)若f(x)在上恒取正值,求m的取值范围。

 

查看答案和解析>>

科目:高中数学 来源:2011-2012学年北京市高三下学期开学检测文科数学试卷 题型:解答题

(本小题满分12分)已知函数

(1)当m=2时,求曲线在点(1,f(1))处的切线方程;

(2)若时,不等式恒成立,求实数m的取值范围.

 

查看答案和解析>>

科目:高中数学 来源:福建省09-10学年高二下学期期末数学理科考试试题 题型:解答题

(本小题满分14分)已知函数

(1)当m=1时,求函数f(x)的最小值;

(2)若函数存在两个零点,求m的取值范围;

(3)证明:

 

查看答案和解析>>

同步练习册答案