精英家教网 > 高中数学 > 题目详情
已知函数(a>1)。
(1)求证:f(x)在(-1,+∞)上为增函数;
(2)若a=3,求方程f(x)=0的正根(精确度为0.1)。
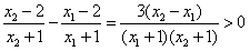
(1)证明:任取x1,x2∈(-1,+∞),且,则

又∵

于是
故函数f(x)在(-1,+∞)上为增函数。
(2)解:由(1)知,当a=3时,也在(-1,+∞)上为增函数,
故在(0,+∞)上也单调递增,因此f(x)=0的正根仅有一个,
以下用二分法求这一正根,由于f(0)=-1<0,f(1)=>0,
∴取(0,1)为初始区间,用二分法逐次计算,列出下表:

区间

中点

中点函数值

(0,1)

0.5

0.732

(0,0.5)

0.25

-0.084

(0.25,0.5)

0.375

0.322

(0.25,0.375)

0.312 5

0.124

由于|0.312 5-0.25|=0.062 5<0.1,
∴原方程的近似解可取为0.312 5。
练习册系列答案
相关习题

科目:高中数学 来源: 题型:

已知函数y=a(x+1)2-1+b(a、b是常数且a>1),当x∈[-
3
2
,0]时有ymax=3,ymin=
5
2
,试求a和b的值.

查看答案和解析>>

科目:高中数学 来源:2011-2012学年甘肃省高三9月月考试卷文科数学 题型:解答题

(本小题满分12分)

已知函数=(a>1) .

(1)求的定义域、值域,并判断的单调性;

(2)解不等式

 

查看答案和解析>>

科目:高中数学 来源:不详 题型:解答题

已知函数y=a(x+1)2-1+b(a、b是常数且a>1),当x∈[-
3
2
,0]时有ymax=3,ymin=
5
2
,试求a和b的值.

查看答案和解析>>

科目:高中数学 来源:2010年北京市东城区高考数学二模试卷(理科)(解析版) 题型:解答题

已知函数(a>1),求证:
(1)函数f(x)在(-1,+∞)上为增函数;
(2)方程f(x)=0没有负数根.

查看答案和解析>>

科目:高中数学 来源:甘肃省兰州一中2011-2012学年高三9月月考试题数学文 题型:解答题

 

已知函数=a>1) .

   (1)求的定义域、值域,并判断的单调性;

   (2)解不等式

 

 

 

 

 

 

 

 

 

查看答案和解析>>

同步练习册答案