精英家教网 > 高中数学 > 题目详情

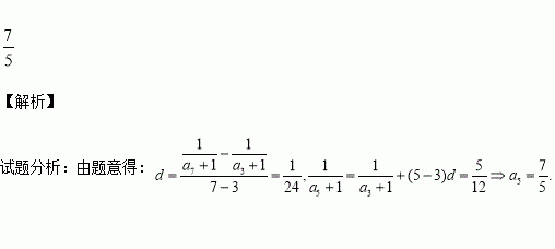
已知数列中,,且数列为等差数列,则

练习册系列答案
相关习题

科目:高中数学 来源:2016届重庆市高三上学期期中文科数学试卷(解析版) 题型:选择题

已知向量满足,的中点,并且,则的最大值是( )

A. B. C. D.

查看答案和解析>>

科目:高中数学 来源:2016届江西省高三上学期期中文科数学试卷(解析版) 题型:解答题

已知函数,若存在使得函数的值域为,则实数的取值范围是

【答案】

【解析】因为上是减函数,所以,由函数为值域知,解得.令,则,知上为减函数,在为增函数.又由,得,且,则必有.如图所示.易知

试题分析:

考点:1、函数的定义域与值域;2、函数的单调性;3、函数图象的应用;4、分段函数.

【易错点晴】本题解答如果不能正确作出函数的图象就无法利用数形结合法直观求解,同时如果确定出函数图象后,不能正确求得切线的取值范围也不能得到正确的结果,因此解答本题的关键是求出的范围,不然会误认为

【题型】填空题
【适用】较易
【标题】【百强校】2016届江西省临川一中高三上学期期中文科数学试卷(带解析)
【关键字标签】
【结束】
 

(本小题满分10分)已知集合

(1)若,求出实数的值;

(2)若命题命题的充分不必要条件,求实数的取值范围.

查看答案和解析>>

科目:高中数学 来源:2016届吉林省高三上学期二模文科数学试卷(解析版) 题型:填空题

已知:函数,若对使得,则实数的取值范围__________.

查看答案和解析>>

科目:高中数学 来源:2016届吉林省高三上学期二模理科数学试卷(解析版) 题型:选择题

若点O和点F分别为椭圆=1的中心和左焦点,点P为椭圆上的任意一点,则·的最大值为( )

A.2 B.3 C.6 D.8

查看答案和解析>>

科目:高中数学 来源:2016届甘肃省高三上学期期中文科数学试卷(解析版) 题型:解答题

(本小题12分)如图,在四棱锥中,底面是正方形,侧棱的中点.

(Ⅰ)证明

(Ⅱ)求三棱锥A-BDP的体积.

查看答案和解析>>

科目:高中数学 来源:2016届甘肃省高三上学期期中理科数学试卷(解析版) 题型:填空题

如图所示,在边长为1的正方形OABC中任取一点M,则点M恰好取自阴影部分的概率是

查看答案和解析>>

科目:高中数学 来源:2015-2016学年江苏启东中学高二上学期期中文科数学试卷(解析版) 题型:填空题

已知点是椭圆上的动点,为椭圆对左、右焦点,为坐标原点,若的角平分线上的一点,且,则的取值范围是

查看答案和解析>>

科目:高中数学 来源:2015-2016学年四川省德阳市高一10月月考数学试卷(解析版) 题型:选择题

是方程的两个实根,则的最小值为 ( )

A、 B、0 C、16 D、

查看答案和解析>>

同步练习册答案