精英家教网 > 高中数学 > 题目详情
已知a,b∈R,且a+b=1.求证:
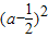
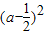
【答案】分析:把b=1-a代入 ,进行化简可得 2≥0,从而证得不等式成立.
解答:证明:∵a,b∈R,且a+b=1,∴b=1-a,∴=a2+b2+4(a+b)- 
=2a2-2a+=2≥0,
 成立.
点评:本题考查用作差比较法证明不等式,变形是解题的关键.
练习册系列答案
相关习题

科目:高中数学 来源: 题型:

已知a,b∈R,且a+b=1.求证:(a+2)2+(b+2)2
252

查看答案和解析>>

科目:高中数学 来源: 题型:

已知a,b∈R+,且a+b=
1
3
,则使
1
a
+
4
b
≥c
恒成立的c取值范围是(  )

查看答案和解析>>

科目:高中数学 来源: 题型:

已知a,b∈R,且a>b,则下列不等式中成立的是(  )

查看答案和解析>>

科目:高中数学 来源: 题型:

已知a,b∈R+,且a+b=1,则
1
a
+
2
b
的最小值是(  )

查看答案和解析>>

科目:高中数学 来源: 题型:

已知a、b∈R,且a+b=3,那么3a+3b的最小值是(  )

查看答案和解析>>

同步练习册答案