精英家教网 > 高中数学 > 题目详情

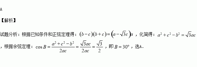
中, 角所对边分别为,且,则角的大小为( )

A. B. C. D.

练习册系列答案
相关习题

科目:高中数学 来源:2016届福建漳州市高三毕业班5月质检数学(理)试卷(解析版) 题型:选择题

已知函数有最小值,则实数的取值范围是( )

A. B. C. D.

查看答案和解析>>

科目:高中数学 来源:2015-2016学年河北唐山一中高一下学期期末数学文试卷(解析版) 题型:选择题

已知直线经过圆的圆心,则的最小值是( )

A. B. C. D.

查看答案和解析>>

科目:高中数学 来源:2015-2016学年河北唐山一中高一下学期期末数学理试卷(解析版) 题型:填空题

若不等式组的整数解只有,则的取值范围为

查看答案和解析>>

科目:高中数学 来源:2015-2016学年河北唐山一中高一下学期期末数学理试卷(解析版) 题型:选择题

若圆上有且仅有两点到直线的距离等于, 则实数的取值范围为( )

A. B. C. D.

查看答案和解析>>

科目:高中数学 来源:2016届四川凉山州高三第三次诊断数学(文)试卷(解析版) 题型:解答题

已知函数

(1)若,求曲线处的切线方程;

(2)求的单调区间.

查看答案和解析>>

科目:高中数学 来源:2016届四川凉山州高三第三次诊断数学(文)试卷(解析版) 题型:填空题

某班级有50名学生,现用系统抽样的方法从这50名学生中抽出10名学生,将这50名学生随机编号为号,并按编号顺序平均分成10组(号,号,…,号),若在第三组抽到的编号是13,则在第七组抽到的编号是______.

查看答案和解析>>

科目:高中数学 来源:2016届四川凉山州高三第三次诊断数学(理)试卷(解析版) 题型:解答题

一个盒子里装有大小均匀的6个小球,其中有红色球4个,编号分别为;白色球2个,编号分别为.从盒子中任取3个小球(假设取到任何一个小球的可能性相同).

(1)求取出的3个小球中,含有编号为4的小球的概率.

(2)在取出的3个小球中,小球编号的最大值设为,求随机变量的分布列.

查看答案和解析>>

科目:高中数学 来源:2015-2016学年福建晋江平山中学高二下学期期中数学(理)试卷(解析版) 题型:解答题

已知数列计算由此推测出的计算公式,并用数学归纳法证明.

查看答案和解析>>

同步练习册答案