精英家教网 > 高中数学 > 题目详情

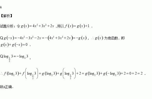
已知函数,则( )

A. B. C. D.

练习册系列答案
相关习题

科目:高中数学 来源:2015-2016学年贵州遵义航天高中高二上学期期中数学试卷(解析版) 题型:选择题

已知直线与圆交于A,B两点,P为圆上异于A、B的动点,则的面积的最大值为 ( )

A.8 B.16 C.32 D.64

查看答案和解析>>

科目:高中数学 来源:2015-2016学年广东省清远市实验学校高二上学期期中数学试卷(解析版) 题型:选择题

对于任意实数a、b、c、d,命题①;②

;④;⑤

其中真命题的个数是 ( )

A.1 B.2 C.3 D.4

查看答案和解析>>

科目:高中数学 来源:2015-2016学年吉林省扶余市高二上学期期中考试理科数学试卷(解析版) 题型:选择题

在△中,角的对边分别是,若,则( )

A. B. C. D.

查看答案和解析>>

科目:高中数学 来源:2015-2016学年湖南省高二上学期期中考试理科数学试卷(解析版) 题型:选择题

已知命题则命题的否定形式是( )

A.

B.

C.

D.

查看答案和解析>>

科目:高中数学 来源:2015-2016学年福建省高二上学期期中考试理科数学试卷(解析版) 题型:解答题

(本小题满分12分) 在△ABC中,a,b,c分别是角A,B,C的对边,且

(1)求角B的大小;

(2)若,求实数b的取值范围.

查看答案和解析>>

科目:高中数学 来源:2014-2015学年上海市高二下学期期末考试数学试卷(解析版) 题型:填空题

半径为的球的直径垂直于平面,垂足为是平面内边长为的正三角形,线段分别与球面交于点M,N,那么M、N两点间的球面距离是

查看答案和解析>>

科目:高中数学 来源:2015-2016学年辽宁省大连市高二上期中文科数学试卷(解析版) 题型:填空题

椭圆的焦点坐标为

查看答案和解析>>

科目:高中数学 来源:2015-2016学年湖北省宜昌市高二上期中理科数学试卷(解析版) 题型:选择题

△ABC的三个顶点为A(2, 8), B(–4, 0), C(6, 0),则过点B将△ABC的面积平分的直线的方程为( )

A、2x–y+4=0 B、x+2y+4=0

C、2x+y–4=0 D、x–2y+4=0

查看答案和解析>>

同步练习册答案