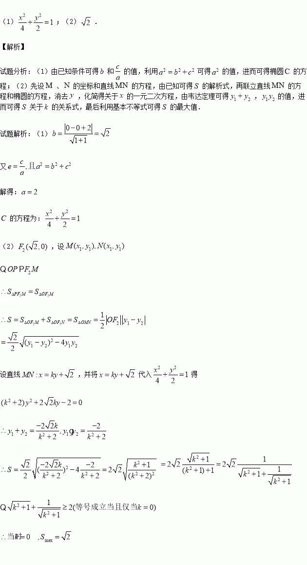
(本小题满分12分)已知椭圆![]()
的离心率
,左、右焦点分别是
,以原点
为圆心,椭圆
的短半轴为半径的圆与直线
相切.
![]()
(1)求椭圆
的标准方程;
(2)设
为椭圆
上不在
轴上的一个动点,过点
作
的平行线交椭圆与
两个不同的点,记
,令
,求
的最大值.
科目:高中数学 来源:2014-2015学年陕西省西安市高三上学期期中考试理科数学试卷(解析版) 题型:选择题
在平面直角坐标系中,若两点
满足条件:①
两点都在函数
的图象上;②
两点关于坐标原点对称。则对称点
是函数
的一对“友好点对”。点
和
看作是同一对“友好点对”。那么函数
的“友好点对”有( )
A.
对 B.
对 C.
对 D.
对
查看答案和解析>>
科目:高中数学 来源:2015-2016学年湖北荆州中学高二上学期期中文科数学试卷(解析版) 题型:填空题
荆州市为了解
岁的老人的日平均睡眠时间(单位:
),随机选择了
位老人进行调查,下表是这
位老人睡眠时间的频率分布表:
![]()
序号 | 分组 (睡眠时间) | 组中值( | 频数 (人数) | 频率( |
1 |
|
| 6 |
|
2 |
|
| 10 |
|
3 |
|
| 20 |
|
4 |
|
| 10 |
|
5 |
|
| 4 |
|
在上述统计数据的分析中一部分计算见算法流程图,则输出的
的值为 .
查看答案和解析>>
科目:高中数学 来源:2016届广东省惠州市高三上学期第二次调研考试理科数学试卷(解析版) 题型:解答题
(本小题满分12分)已知
是公差为2的等差数列,且
是
与
的等比中项.
(Ⅰ)求数列
的通项公式;
(Ⅱ)令
,求数列
的前
项和
.
查看答案和解析>>
科目:高中数学 来源:2015-2016学年江苏省高一上第一次联考数学试卷(解析版) 题型:解答题
(本小题满分16分)已知
为
上的奇函数,当
时,
为二次函数,且满足
,不等式组
的解集是
.
(1)求函数
的解析式;
(2)作出
的图象并根据图象讨论关于
的方程:![]()
根的个数.
![]()
查看答案和解析>>
科目:高中数学 来源:2015-2016学年江苏省高二上第一次联考数学试卷(解析版) 题型:填空题
若将甲、乙两个球随机放入编号为1,
,
的三个盒子中,每个盒子的放球数量不限,则在1,
号盒子中各有一个球的概率是 .
查看答案和解析>>
科目:高中数学 来源:2015-2016学年河北省定州市高二上学期竞赛数学试卷(解析版) 题型:选择题
已知x可以在区间[-t,4t](t>0)上任意取值,则x∈[-
t,t]的概率是( ).
A.
B.
C.
D.![]()
查看答案和解析>>
科目:高中数学 来源:2014-2015学年广东省湛江市高一下学期期末考试数学试卷(解析版) 题型:选择题
向量a=
,b=
,则
A.a∥b
B.
C.a与b的夹角为60°
D.a与b的夹角为30°
查看答案和解析>>
湖北省互联网违法和不良信息举报平台 | 网上有害信息举报专区 | 电信诈骗举报专区 | 涉历史虚无主义有害信息举报专区 | 涉企侵权举报专区
违法和不良信息举报电话:027-86699610 举报邮箱:58377363@163.com