精英家教网 > 高中数学 > 题目详情

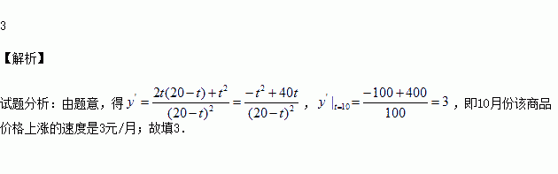
同学们经过市场调查,得出了某种商品在2014年的价格y(单位:元)与时间t(单位:月的函数关系为:y=2+(1≤t≤12),则10月份该商品价格上涨的速度是______元/月.

练习册系列答案
相关习题

科目:高中数学 来源:2015-2016学年广东省高一上第一次月考数学试卷(解析版) 题型:选择题

若函数y=x2+(2a-1)x+1在区间(-∞,2上是减函数,则实数a的取值范围是( )

A.,+∞) B.(-∞,-

C.,+∞) D.(-∞,

查看答案和解析>>

科目:高中数学 来源:2016届山东师大附中高三上学期二模文科数学试卷(解析版) 题型:解答题

(本小题满分12分)已知等差数列的前n项和为,公差成等比数列.

(1)求数列的通项公式;

(2)设,求数列的前n项和

查看答案和解析>>

科目:高中数学 来源:2016届黑龙江哈尔滨六中高三上期中理科数学试卷(解析版) 题型:解答题

已知函数

(Ⅰ)当时,求函数的极值;

(Ⅱ)时,讨论的单调性;

(Ⅲ)若对任意的恒有成立,

求实数的取值范围.

查看答案和解析>>

科目:高中数学 来源:2016届福建省高三第一次月考文科数学试卷(解析版) 题型:填空题

已知向量a,b的夹角为60°,且|a|=1,|2a+b|=,则|b|=________.

查看答案和解析>>

科目:高中数学 来源:2014-2015学年浙江宁波效实中学高三上学期期中文科数学试卷(解析版) 题型:解答题

为等差数列的前项和,已知

(1)求数列的通项公式

(2)求证:

查看答案和解析>>

科目:高中数学 来源:2014-2015学年浙江宁波效实中学高三上学期期中理科数学试卷(解析版) 题型:选择题

已知正的顶点在平面上,顶点在平面的同一侧,的中点,若在平面上的射影是以为直角顶点的三角形,则直线与平面所成角的正弦值的范围是( )

A. B. C. D.

查看答案和解析>>

科目:高中数学 来源:2015-2016学年江苏省高一上期中考试数学试卷(解析版) 题型:填空题

已知集合,则

查看答案和解析>>

科目:高中数学 来源:2014-2015学年浙江省嵊州市高二下期末检测理科数学A卷(解析版) 题型:选择题

已知为非零向量,且,则下列命题正确的个数为

(1)若,则 (2)若,则

(3)若,则 (4)若,则

A. B. C. D.

查看答案和解析>>

同步练习册答案