精英家教网 > 高中数学 > 题目详情

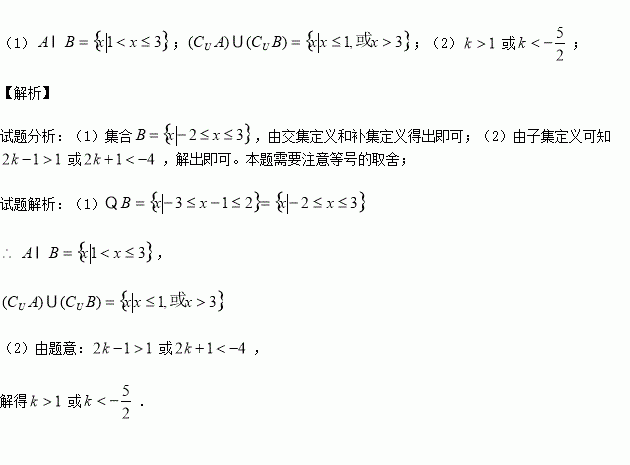
已知全集,集合

(1)求;

(2)若集合是集合A的子集,求实数k的取值范围.

练习册系列答案
相关习题

科目:高中数学 来源:2016届宁夏六盘山高中高三上学期第二次月考理科数学试卷(解析版) 题型:解答题

如图,在直三棱柱中,点的中点.

(1)求证:∥平面

(2)若,求点到平面的距离.

查看答案和解析>>

科目:高中数学 来源:2015-2016学年浙江省高一上学期期中数学试卷(解析版) 题型:选择题

已知是定义在上的奇函数,当时,,则不等式的解集为( ).

A.

B.

C.

D.

查看答案和解析>>

科目:高中数学 来源:2015-2016学年湖南衡阳八中高二上第二次月考理科数学卷(解析版) 题型:解答题

已知动圆过定点,且在y轴上截得弦长为4.

(1)求动圆圆心的轨迹Q的方程;

(2)已知点为一个定点,过E作斜率分别为的两条直线交轨迹于点四点,且分别是线段的中点,若,求证:直线过定点.

查看答案和解析>>

科目:高中数学 来源:2014-2015学年贵州省高二上学期半期考试文科数学试卷(解析版) 题型:填空题

已知F1、F2为椭圆的两个焦点,过F1的直线交椭圆于A、B两点,若,则=_____________ .

查看答案和解析>>

科目:高中数学 来源:2016届四川省成都市高三11月阶段测试文科数学试卷(解析版) 题型:解答题

设命题;命题

(1)若命题所表示不等式的解集为,求实数的值;

(2)若的必要不充分条件,求实数t的取值范围.

查看答案和解析>>

科目:高中数学 来源:2016届四川省成都市高三11月阶段测试理科数学试卷(解析版) 题型:选择题

设直角的三个顶点都在单位圆上,点M,则的最大值是( )

A. B. C. D.

查看答案和解析>>

科目:高中数学 来源:2016届甘肃省高三12月月考文科数学试卷(解析版) 题型:填空题

设三棱柱的侧棱垂直于底面,,且三棱柱的所有顶点都在同一球面上,则该球的表面积是

查看答案和解析>>

科目:高中数学 来源:2015-2016学年山东省济宁市兖州区高一上学期期中考试数学试卷(解析版) 题型:选择题

是定义在上的偶函数,且,则下列各式一定成立的是 ( )

A. B.

C. D.

查看答案和解析>>

同步练习册答案