精英家教网 > 高中数学 > 题目详情

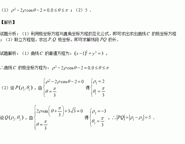
在直角坐标系中,曲线参数方程为是参数方程,),以为极点,轴非负半轴为极轴建立极坐标系.

(1)求出曲线的极坐标方程;

(2)直线的极坐标方程是,直线与曲线的交点为,与直线的交点为,求线段的长.

练习册系列答案
相关习题

科目:高中数学 来源:2015-2016学年四川省高一下期中数学试卷(解析版) 题型:选择题

有一种细胞每半小时分裂一次,由原来的一个分裂成两个,那么一个这种细胞经过3小时分裂成的细胞数为( )

A. B. C. D.

查看答案和解析>>

科目:高中数学 来源:2016届安徽省高三下组卷三理科数学试卷(解析版) 题型:选择题

已知的展开式中第3项与第6项的二项式系数相等,则展开式中系数最大的项为第( )项.

A.5 B.4 C.4或5 D.5或6

查看答案和解析>>

科目:高中数学 来源:2015-2016学年安徽省高二下期中文科数学试卷(解析版) 题型:选择题

已知是定义在上且以为周期的偶函数,当时,.如果函数有两个零点,则实数的值为( )

A. B.

C. D.

查看答案和解析>>

科目:高中数学 来源:2015-2016学年安徽省高二下期中文科数学试卷(解析版) 题型:选择题

已知函数’则( )

A. B. C. D.

查看答案和解析>>

科目:高中数学 来源:2016届福建省高三最后一卷文科数学试卷(解析版) 题型:解答题

去年年底,某商业集团公司根据相关评分细则,对其所属25家商业连锁店进行了考核评估.将各连锁店的评估分数按分成四组,其频率分布直方图如下图所示,集团公司依据评估得分,将这些连锁店划分为四个等级,等级评定标准如下表所示.

(1)估计该商业集团各连锁店评估得分的众数和平均数;

(2)从评估分数不小于80分的连锁店中任选2家介绍营销经验,求至少选一家等级的概率.

查看答案和解析>>

科目:高中数学 来源:2016届福建省高三最后一卷文科数学试卷(解析版) 题型:选择题

一个几何体的三视图如图所示,则该几何体外接球的表面积为( )

A. B. C. D.

查看答案和解析>>

科目:高中数学 来源:2016届福建省高三最后一卷理科数学试卷(解析版) 题型:解答题

为评估设备生产某种零件的性能,从设备生产零件的流水线上随机抽取100件零件做为样本,测量其直径后,整理得到下表:

经计算,样本的平均值,标准差,以频率值作为概率的估计值.

(I)为评判一台设备的性能,从该设备加工的零件中任意抽取一件,记其直径为,并根据以下不等式进行评判(表示相应事件的频率);

;②

.评判规则为:若同时满足上述三个不等式,则设备等级为甲;仅满足其中两个,则等级为乙,若仅满足其中一个,则等级为丙;若全部不满足,则等级为丁.试判断设备的性能等级.

(II)将直径小于等于或直径大于的零件认为是次品

(ⅰ)从设备的生产流水线上随意抽取2件零件,计算其中次品个数的数学期望

(ⅱ)从样本中随意抽取2件零件,计算其中次品个数的数学期望

查看答案和解析>>

科目:高中数学 来源:2015-2016学年河北省高二下期中理科数学试卷(解析版) 题型:解答题

已知函数

(I)若,求函数的最大值与最小;

(II)若,且恒成立,求实数的取值范围.

查看答案和解析>>

同步练习册答案