精英家教网 > 高中数学 > 题目详情
等比数列{an}中,a2+a3=6,a2a3=8,则q=   
【答案】分析:法一:由题意可得,,解方程可求q
法二:由a2+a3=6,a2a3=8,可求a2,a3,然后由q=可求
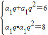
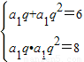
解答:解:法一:由题意可得,
两式相除整理可得,2q2-5q+2=0
∴q=2或q=
故答案为:2或
法二:∵a2+a3=6,a2a3=8,

由等比数列的性质可得,q==2或
故答案为:2或
点评:本题主要考查了等比数列的通项公式的简单应用,属于基础试题
练习册系列答案
相关习题

科目:高中数学 来源: 题型:

等比数列{an}中,a2=18,a4=8,则公比q等于(  )

查看答案和解析>>

科目:高中数学 来源: 题型:

已知等比数列{an}中,a1=0,an+1=
1
2-an

(Ⅰ)求数列{an}的通项公式an
(Ⅱ)设数列{an}的前n项和为Sn,证明:Sn<n-ln(n+1);
(Ⅲ)设bn=an
9
10
n,证明:对任意的正整数n、m,均有|bn-bm|<
3
5

查看答案和解析>>

科目:高中数学 来源: 题型:

在等比数列{an}中,a3=2,a7=32,则a5=
8
8

查看答案和解析>>

科目:高中数学 来源: 题型:

已知等比数列{an}中,an=2×3n-1,则由此数列的奇数项所组成的新数列的前n项和为
9n-1
4
9n-1
4

查看答案和解析>>

科目:高中数学 来源: 题型:

在等比数列{an}中,已知对n∈N*有a1+a2+…+an=2n-1,那么
a
2
1
+
a
2
2
+…+
a
2
n
等于(  )

查看答案和解析>>

同步练习册答案