精英家教网 > 高中数学 > 题目详情

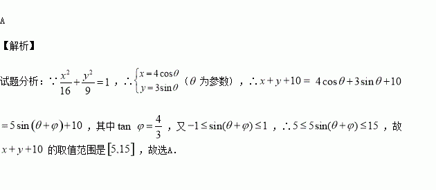
若实数 满足:,则x+y+10的取值范围是( )

A.[5,15] B.[10,15] C.[-15,10] D.[-15,35]

练习册系列答案
相关习题

科目:高中数学 来源:2015-2016学年北大附中河南分校高二普通上期末文数学卷(解析版) 题型:选择题

已知椭圆,焦点在轴上,若焦距为,则等于( )

A. B. C. D.

查看答案和解析>>

科目:高中数学 来源:2015-2016学年河南新乡一中高二重点下七次周练文数学卷(解析版) 题型:选择题

已知数列{an}其通项公式为an=3n2﹣22n﹣1,则此数列中最小项为第( )项.

A.2 B.3 C.4 D.5

查看答案和解析>>

科目:高中数学 来源:2015-2016学年河南新乡一中高二重点下七次周练理数学卷(解析版) 题型:填空题

设曲线的参数方程为是参数,),直线的极坐标方程为,若曲线与直线只有一个公共点,则实数的值是

查看答案和解析>>

科目:高中数学 来源:2015-2016学年河南新乡一中高二重点下七次周练理数学卷(解析版) 题型:选择题

已知函数,当为自然常数),函数的最小值为3,则的值为( )

A. B. C. D.

查看答案和解析>>

科目:高中数学 来源:2015-2016学年河南新乡一中高二重点下七次周练理数学卷(解析版) 题型:选择题

表示的图形是( )

A.一条射线 B.一条直线 C.一条线段 D.圆

查看答案和解析>>

科目:高中数学 来源:2015-2016学年河南新乡一中高二普通下七次周练理数学卷(解析版) 题型:填空题

设曲线的参数方程为是参数,),直线的极坐标方程为,若曲线与直线只有一个公共点,则实数的值是

查看答案和解析>>

科目:高中数学 来源:2015-2016学年河南新乡一中高二普通下七次周练理数学卷(解析版) 题型:选择题

表示的图形是( )

A.一条射线 B.一条直线 C.一条线段 D.圆

查看答案和解析>>

科目:高中数学 来源:2015-2016学年贵州思南中学高二下期中理科数学试卷(解析版) 题型:选择题

函数的单调增区间是( )

A、 B、 C、 D、

查看答案和解析>>

同步练习册答案