精英家教网 > 高中数学 > 题目详情

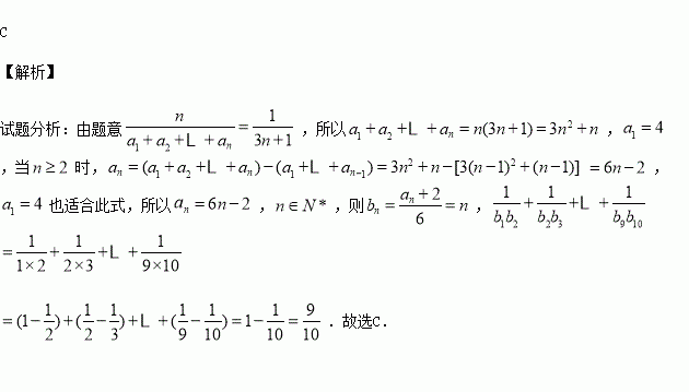
定义个正数的“均倒数”.若已知数列的前项的“均倒数”为,又,则=( )

A. B. C. D.

练习册系列答案
相关习题

科目:高中数学 来源:2016届辽宁省高三四模理科数学试卷(解析版) 题型:填空题

展开式的二项式系数之和为128,则展开式中的系数为________.

查看答案和解析>>

科目:高中数学 来源:2015-2016学年广西桂林十八中高二下期中文科数学试卷(解析版) 题型:解答题

为了解人们对于国家新颁布的“生育二胎放开”政策的热度,现在某市进行调查,随机抽调了50人,他们年龄的频数分布及支持“生育二胎”人数如下表:

(Ⅰ)由以上统计数据填下面2乘2列联表,并问是否有99%的把握认为以45岁为分界点对“生育二胎放开”政策的支持度有差异;

(Ⅱ)若对年龄在[5,15)的被调查人中各随机选取两人进行调查,恰好这两人都支持“生育二胎放开”的概率是多少? 参考数据:

查看答案和解析>>

科目:高中数学 来源:2015-2016学年广西桂林十八中高二下期中文科数学试卷(解析版) 题型:选择题

已知集合,则

A. B. C. D.

查看答案和解析>>

科目:高中数学 来源:2015-2016学年黑龙江省高一下期中数学试卷(解析版) 题型:填空题

给出下列命题:

;

是等比数列,则也为等比数列;

③ 在数列中,如果前项和,则此数列是一个公差为的等差数列;

所在平面上一定点,动点P满足:,则直线一定通过的内心;

则上述命题中正确的有 (填上所有正确命题的序号)

查看答案和解析>>

科目:高中数学 来源:2015-2016学年黑龙江省高一下期中数学试卷(解析版) 题型:选择题

中,,则的形状一定为( )

A.等腰直角三角形 B.直角三角形

C.等边三角形 D.等腰三角形或直角三角形

查看答案和解析>>

科目:高中数学 来源:2015-2016学年黑龙江省高二下期中文数学试卷(解析版) 题型:解答题

设函数在点处的切线方程为

(1)求值,并求的单调区间;

(2)证明:当时,

查看答案和解析>>

科目:高中数学 来源:2015-2016学年黑龙江省高二下期中文数学试卷(解析版) 题型:选择题

设曲线在点处的切线与直线垂直,则等于( )

A. 2 B. C. 1 D.

查看答案和解析>>

科目:高中数学 来源:2015-2016学年黑龙江大庆一中高二下第二次段考文数学卷(解析版) 题型:选择题

已知抛物线的准线经过双曲线的一个焦点,则双曲线的离心率为( )

A. B. C. D.

查看答案和解析>>

同步练习册答案