精英家教网 > 高中数学 > 题目详情

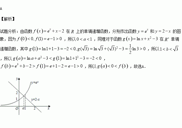
设函数,若实数满足,则( )

A.B.

C.D.

练习册系列答案
相关习题

科目:高中数学 来源:2017届山西长治二中等五校高三上学期联考一数学(理)试卷(解析版) 题型:选择题

不透明的袋子内装有相同的五个小球,分别标有1-5五个编号,现有放回的随机摸取三次,则摸出的三个小球的编号乘积能被10整除的概率为( )

A. B. C. D.

查看答案和解析>>

科目:高中数学 来源:2015-2016学年河北定州中学高一承智班上周练二数学试卷(解析版) 题型:解答题

已知函数的定义域为集合,关于的不等式的解集为,若,求实数的取值范围.

查看答案和解析>>

科目:高中数学 来源:2015-2016学年贵州思南中学高二下学期期末数学文试卷(解析版) 题型:解答题

选修4-5:不等式选讲

已知函数

(1)求的取值范围,使得为常函数;

(2)若关于的不等式有解,求实数的取值范围.

查看答案和解析>>

科目:高中数学 来源:2015-2016学年贵州思南中学高二下学期期末数学文试卷(解析版) 题型:填空题

是定义在上的偶函数,当时,,若方程恰有4个不同的根,则实数的取值范围是_____________.

查看答案和解析>>

科目:高中数学 来源:2015-2016学年贵州思南中学高二下学期期末数学文试卷(解析版) 题型:选择题

函数的图象大致是( )

A.B.

C.D.

查看答案和解析>>

科目:高中数学 来源:2015-2016学年湖南省长沙市高二下学业水平模拟数学试卷(解析版) 题型:解答题

如图,在三棱柱ABC﹣A1B1C1中,BB1⊥平面ABC,∠ABC=90°,AB=2,BC=BB1=1,D是棱A1B1上一点.

(Ⅰ)证明:BC⊥AD;

(Ⅱ)求三棱锥B﹣ACD的体积.

查看答案和解析>>

科目:高中数学 来源:2015-2016学年湖南省长沙市高二下学业水平模拟数学试卷(解析版) 题型:选择题

函数y=的定义域是( )

A.(﹣∞,1) B.(﹣∞,1] C.(1,+∞) D.[1,+∞)

查看答案和解析>>

科目:高中数学 来源:2016届湖南宁远县一中高三下学期模拟考试数学(文)试卷(解析版) 题型:解答题

选修4-5:不等式选讲

已知函数.

(1)当时, 若对任意恒成立,求实数的取值范围;

(2)当时, 求函数的最小值.

查看答案和解析>>

同步练习册答案