精英家教网 > 高中数学 > 题目详情

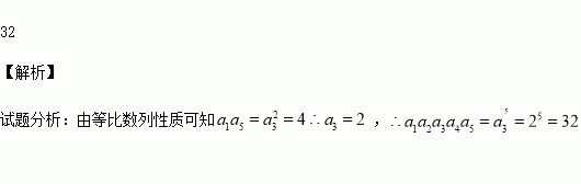
等比数列的各项均为正数,且,则__________.

练习册系列答案
相关习题

科目:高中数学 来源:2014-2015学年贵州省高二上学期期中理科数学试卷(解析版) 题型:选择题

从12个同类产品(其中有10个正品,2个次品)中,任意抽取3个的必然事件是( )

A.3个都是正品 B.至少有1个次品

C.3个都是次品 D.至少有1个正品

查看答案和解析>>

科目:高中数学 来源:2015-2016年湖南湘潭、岳阳一中高一上联考数学试卷(解析版) 题型:解答题

(本题满分8分)已知集合,求:

(1)

(2)

查看答案和解析>>

科目:高中数学 来源:2015-2016学年河北衡水冀州中学高二上期中文科数学B卷(解析版) 题型:填空题

100个个体分成10组,编号后分别为第1组:00,01,02,…,09;第2组:10,11,12,…,

19;…;第10组:90,91,92,…,99.现在从第组中抽取其号码的个位数与的个位数相同的个体,其中是第1组随机抽取的号码的个位数,则当m=4时,从第7组中抽取的号码是

查看答案和解析>>

科目:高中数学 来源:2015-2016学年河北衡水冀州中学高二上期中理科数学B卷(解析版) 题型:填空题

如图所示的程序框图,输入时,程序运行结束后输出的值的和为

查看答案和解析>>

科目:高中数学 来源:2016届四川省巴中市普通高中高三10月零诊考试文科数学试卷(解析版) 题型:解答题

(本小题满分12分)等差数列{an}满足:a1=1, a2+a6=14;正项等比数列{bn}满足:b1=2,b3 =8.

(1)求数列{an},{bn}的通项公式an,bn;

(2)求数列{an·bn}的前n项和Tn.

查看答案和解析>>

科目:高中数学 来源:2016届四川省巴中市普通高中高三10月零诊考试理科数学试卷(解析版) 题型:填空题

在x(1+x)6的展开式中,含x3项的系数是

查看答案和解析>>

科目:高中数学 来源:2015-2016年重庆巴蜀中学高一上学期10月月考数学试卷(解析版) 题型:选择题

对任意的实数x,y,函数f(x)都满足f(x+y)=f(x)+f(y)+2恒成立.则f(2)+f(-2)=( )

A、-4 B、0 C、-2 D、2

查看答案和解析>>

科目:高中数学 来源:2015-2016学年湖北荆州中学高二上学期期中理科数学试卷(解析版) 题型:填空题

过圆上一点的切线方程为

查看答案和解析>>

同步练习册答案