精英家教网 > 高中数学 > 题目详情
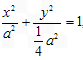
已知椭圆C:的离心率为,且过点
(Ⅰ)求椭圆C的标准方程;
(Ⅱ)垂直于坐标轴的直线l与椭圆C相交于A、B两点,若以AB为直径的圆D经过坐标原点.证明:圆D的半径为定值.
解:(Ⅰ)∵

又∵

∴方程为,代点得a2=4
∴b2=1
所以椭圆的标准方程为
(Ⅱ)证明:设A(x1,y1),B(x2,y2
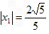
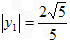
(1)当AB的斜率不存在时,则由椭圆的对称性知x1=x2,y1=-y2
∵以AB为直径的圆经过原点,



代入椭圆标准方程中得
此时0到AB的距离为
(2)当AB的斜率为零时,则由椭圆的对称性知
同理可求得
综上所述,圆D的半径为定值
练习册系列答案
相关习题

科目:高中数学 来源: 题型:

已知椭圆C:的离心率为,双曲线x²-y²=1的渐近线与椭圆有四个交点,以这四个交点为顶点的四边形的面积为16,则椭圆c的方程为

查看答案和解析>>

科目:高中数学 来源:2009年广东省广州市高考数学二模试卷(文科)(解析版) 题型:解答题

已知椭圆C:的离心率为,且经过点
(1)求椭圆C的方程;
(2)设F是椭圆C的左焦,判断以PF为直径的圆与以椭圆长轴为直径的圆的位置关系,并说明理由.

查看答案和解析>>

科目:高中数学 来源:2010-2011学年重庆市七区高三第一次调研测试数学理卷 题型:选择题

已知椭圆C:的离心率为,过右焦点且斜率为的直线与椭圆C相交于两点.若,则 =(      )

A.         B.                  C.2            D.

 

查看答案和解析>>

科目:高中数学 来源:2013届广东省高二第一学期期末考试文科数学 题型:解答题

(本小题满分12分)

已知椭圆C:,它的离心率为.直线与以原点为圆心,以C的短半轴为半径的圆O相切. 求椭圆C的方程.

 

 

 

 

 

查看答案和解析>>

科目:高中数学 来源:2010-2011年吉林一中高二下学期第一次月考数学文卷 题型:解答题

.已知椭圆C:的离心率为,椭圆C上任意一点到椭圆两个焦点的距离之和为6.

(Ⅰ)求椭圆C的方程;

(Ⅱ)设直线与椭圆C交于两点,点,且,求直线的方程.

 

查看答案和解析>>

同步练习册答案