精英家教网 > 高中数学 > 题目详情

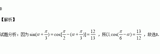
已知,则( )

A. B. C. D.

练习册系列答案
相关习题

科目:高中数学 来源:2016-2017学年山西临汾一中高二理上期中联考数学试卷(解析版) 题型:选择题

若圆上有且只有一点到直线的距离为,则实数的值为( )

A. B. C. D.

查看答案和解析>>

科目:高中数学 来源:2016-2017学年山西临汾一中高二文上期中联考数学试卷(解析版) 题型:选择题

某几何体是组合体,其三视图如图所示,则该几何体的体积为 ( )

A. B. C. D.

查看答案和解析>>

科目:高中数学 来源:2017届湖南郴州市高三理第二次质监数学试卷(解析版) 题型:填空题

过点的直线与圆交于两点,为圆心,当最小时,直线的方程为_________.

查看答案和解析>>

科目:高中数学 来源:2017届湖南郴州市高三理第二次质监数学试卷(解析版) 题型:选择题

设关于的不等式组表示的平面区域内存在点,满足.则的取值范围是( )

A. B. C. D.

查看答案和解析>>

科目:高中数学 来源:2017届湖南郴州市高三文第二次质监数学试卷(解析版) 题型:解答题

如图甲,在直角梯形中,的中点,的交点,将沿折起到的位置,如图乙.

(Ⅰ)证明:平面

(Ⅱ)若平面平面,求点到平面的距离.

查看答案和解析>>

科目:高中数学 来源:2017届湖南郴州市高三文第二次质监数学试卷(解析版) 题型:填空题

已知的夹角为,则____________.

查看答案和解析>>

科目:高中数学 来源:2016-2017年河南漯河高级中学高二理12月月考数学试卷(解析版) 题型:解答题

已知命题:直线与圆有两个交点;命题:.

(1)若为真命题,求实数的取值范围;

(2)若为真命题,为假命题,求实数的取值范围.

查看答案和解析>>

科目:高中数学 来源:2016-2017年安徽滁州部分高中高二文12月联考数学试卷(解析版) 题型:解答题

为了对某课题进行研究,用分层抽样方法从三所高校的相关人员中,抽取若干人组成研究小组,有关数据见下表(单位:人)

高校

相关人数

抽取人数

A

18

B

36

2

C

54

(Ⅰ)求

(Ⅱ)若从高校抽取的人中选2人作专题发言,求这二人都来自高校的概率.

查看答案和解析>>

同步练习册答案