精英家教网 > 高中数学 > 题目详情

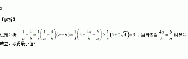
已知,且满足,则的最小值为

练习册系列答案
相关习题

科目:高中数学 来源:2015-2016学年黑龙江省高二上学期期中数学试卷(解析版) 题型:选择题

已知变量满足约束条件,则的最大值为( )

A.12 B.11 C.3 D.-1

查看答案和解析>>

科目:高中数学 来源:2015-2016学年湖南省高二上学期期中考试理科数学试卷(解析版) 题型:解答题

(本题12分)在锐角中,分别为角所对的边,且

(1)求角的大小;

(2)若,且的面积为,求的值.

查看答案和解析>>

科目:高中数学 来源:2015-2016学年福建省高二上学期期中考试理科数学试卷(解析版) 题型:填空题

已知数列共有项,定义的所有项和为,第二项及以后所有项和为,第三项及以后所有项和为…,第项及以后所有项和为,若是首项为1,公比为的等比数列的前项和,则当时,=

查看答案和解析>>

科目:高中数学 来源:2014-2015学年上海市高二下学期期末考试数学试卷(解析版) 题型:填空题

在一个密闭的容积为1的透明正方体容器内装有部分液体,如果任意转动该正方体,液面的形状都不可能是三角形,那么液体体积的取值范围是

查看答案和解析>>

科目:高中数学 来源:2015-2016学年山东省临沂市高二上期中模拟理数学试卷(解析版) 题型:解答题

解关于x的不等式

查看答案和解析>>

科目:高中数学 来源:2015-2016学年辽宁省大连市高二上期中文科数学试卷(解析版) 题型:选择题

已知圆,动圆与圆外切,与圆内切,则圆的圆心的轨迹方程为

(A) (B)

(C) (D)

查看答案和解析>>

科目:高中数学 来源:2015-2016学年江西省赣州市十三县高二上期中联考文科数学试卷(解析版) 题型:选择题

如图,AB为圆O的直径,点C在圆周上(异于点A,B),直线PA垂直于圆O所在的平面,点M为线段PB的中点.有以下四个命题:

①PA∥平面MOB; ②OC⊥平面PAC;

③MO∥平面PAC; ④平面PAC⊥平面PBC.

其中正确的命题是( ).

A.①② B.①③ C.③④ D.②④

查看答案和解析>>

科目:高中数学 来源:2016届重庆市高三上学期第三次月考文科数学试卷(解析版) 题型:解答题

(本小题满分12分) 如图,在△中,边上一点,,已知

(1)若△是锐角三角形,,求角的大小;

(2)若△的面积为,求边的长.

查看答案和解析>>

同步练习册答案