精英家教网 > 高中数学 > 题目详情

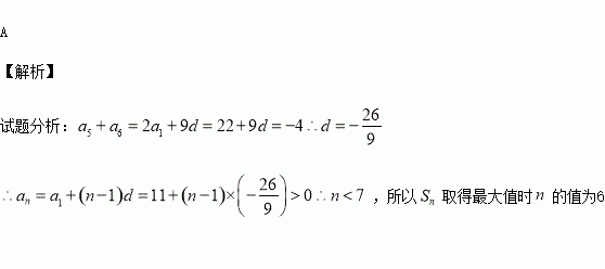
已知等差数列的前项和为取得最大值时的值为( )

A. B. C. D.

练习册系列答案
相关习题

科目:高中数学 来源:2015-2016学年湖北省黄石市高二下期中文科数学试卷(解析版) 题型:选择题

设椭圆的离心率为,右焦点为,方程的两个实根分别为,则点 ( )

A.必在圆内 B.必在圆

C.必在圆上 D.以上三种情形都有可能

查看答案和解析>>

科目:高中数学 来源:2015-2016学年湖北省襄阳市四校高一下学期期中联考数学试卷(解析版) 题型:填空题

已知,则

查看答案和解析>>

科目:高中数学 来源:2015-2016学年河南省高一下期中数学试卷(解析版) 题型:解答题

已知A、B、C为△ABC的三个内角,且其对边分别为a、b、c,若cosBcosC﹣sinBsinC=

(1)求角A;

(2)若a=2,b+c=4,求△ABC的面积.

查看答案和解析>>

科目:高中数学 来源:2015-2016学年河南省高一下期中数学试卷(解析版) 题型:选择题

已知等差数列的前n项和为,则数列的前100项和为( )

A. B. C. D.

查看答案和解析>>

科目:高中数学 来源:2015-2016学年河南省高一下期中数学试卷(解析版) 题型:选择题

在△ABC中,已知b2=ac且c=2a,则cos B等于( )

A. B. C. D.

查看答案和解析>>

科目:高中数学 来源:2015-2016学年广东省高一下第一次月考文科数学试卷(解析版) 题型:解答题

已知平面内两点A(8,﹣6),B(2,2).

(1)求线段AB的垂直平分线的方程;

(2)求过点P(2,﹣3),且与直线AB平行的直线m的方程.

查看答案和解析>>

科目:高中数学 来源:2016届湖南师大附中高三下学期高考模拟三文科数学试卷(解析版) 题型:解答题

选修4-5:不等式选讲

已知函数

(1)解关于的不等式

(2)若不等式对任意的恒成立,求的取值范围.

查看答案和解析>>

科目:高中数学 来源:2016届辽宁省锦州市高三下学期质量检测二文科数学试卷(解析版) 题型:选择题

某餐厅的原料费支出与销售额(单位:万元) 之间有如下数据,根据表中提供的全部数据,用最小二乘法得出的线性回归方程为,则表中的的值为( )

A. B. C. D.

查看答案和解析>>

同步练习册答案