精英家教网 > 高中数学 > 题目详情

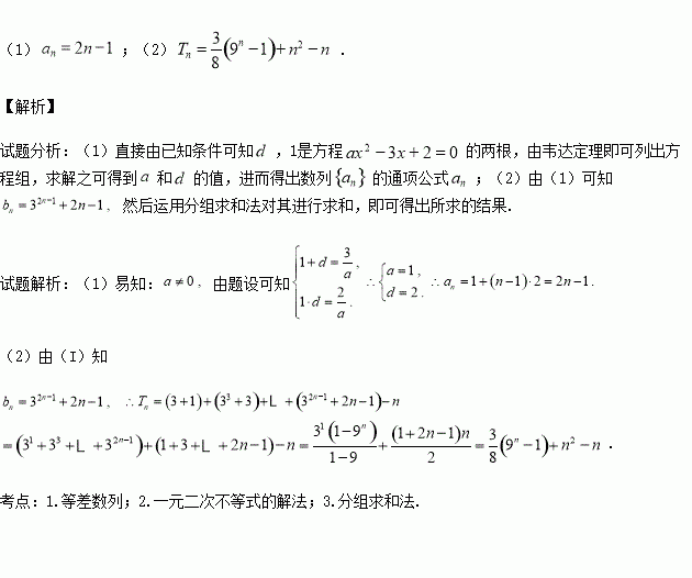
已知等差数列的首项为,公差为,且不等式的解集为

⑴ 求数列的通项公式

⑵ 若,求数列项和

练习册系列答案
相关习题

科目:高中数学 来源:2017届湖南长沙长郡中学高三入学考试数学(理)试卷(解析版) 题型:选择题

设复数,其中为实数,若的实部为2,则的虚部为( )

A. B. C. D.

查看答案和解析>>

科目:高中数学 来源:2016届北京通州区高三4月一模数学(文)试卷(解析版) 题型:选择题

设向量,且,则的值是( )

A.2 B. C.8 D.

查看答案和解析>>

科目:高中数学 来源:2016届北京通州区高三4月一模数学(理)试卷(解析版) 题型:选择题

已知是首项为2且公差不为0的等差数列,若成等比数列,则的前9项和等于( )

A.26 B.30 C.36 D.40

查看答案和解析>>

科目:高中数学 来源:2017届广东珠海市高三9月摸底考试数学(文)试卷(解析版) 题型:解答题

如图,四边形内接于⊙,过点作⊙的切线的延长线于,已知.

证明:(1)

(2)

查看答案和解析>>

科目:高中数学 来源:2017届广东珠海市高三9月摸底考试数学(文)试卷(解析版) 题型:选择题

设函数是奇函数的导函数,,当时,,则使得成立的的取值范围是

A. B.

C. D.

查看答案和解析>>

科目:高中数学 来源:2017届广东珠海市高三9月摸底考试数学(文)试卷(解析版) 题型:选择题

抛物线的焦点坐标是

A.() B.() C.() D.(

查看答案和解析>>

科目:高中数学 来源:2017届广东珠海市高三9月摸底考试数学(理)试卷(解析版) 题型:选择题

,若对任意实数都有,定义在区间上的函数的图象与的图象的交点个数是个,则满足条件的有序实数组的组数为

A. B. C. D.

查看答案和解析>>

科目:高中数学 来源:2015-2016学年贵州思南中学高二下学期期末理数学理试卷(解析版) 题型:解答题

为数列的前项和.已知

(1)求的通项公式;

(2)设,求数列的前项和.

查看答案和解析>>

同步练习册答案