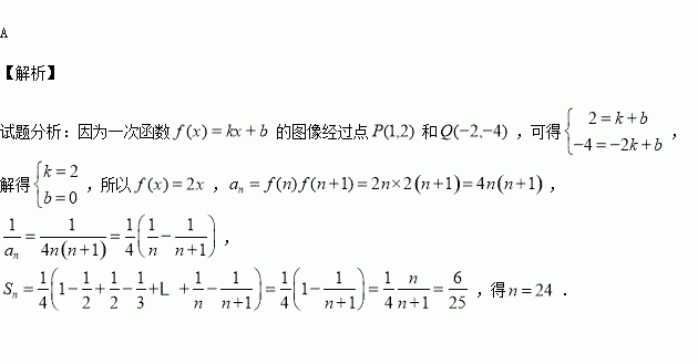
精英家教网 > 高中数学 > 题目详情

已知一次函数的图像经过点,令,记数列的前项和为,当时,的值等于( )

A. B. C. D.

练习册系列答案
相关习题

科目:高中数学 来源:2015-2016学年辽宁省高二上10月月考理科数学试卷(解析版) 题型:选择题

(2013•辽宁)执行如图所示的程序框图,若输入n=8,则输出S=( )

A. B. C. D.

查看答案和解析>>

科目:高中数学 来源:2015-2016学年广东省顺德市高二上第二次段考文科数学试卷(解析版) 题型:选择题

(2015秋•顺德区校级月考)下列各个图形中,异面直线的画法不妥的是( )

A.

B.

C.

D.

查看答案和解析>>

科目:高中数学 来源:2015-2016学年内蒙古赤峰市高一9月月考数学试卷(解析版) 题型:解答题

已知函数

(1)若点(4,)在函数的图像上,求的值;

(2)若,判断函数的单调性,并证明;

(3)若,求的值域.

查看答案和解析>>

科目:高中数学 来源:2016届四川省成都市高三11月段测三理科数学试卷(解析版) 题型:选择题

在△ABC中,三内角A,B,C的对边分别为a,b,c,面积为S,若S+a2=(b+c)2,则cosA等于( )

A. B.— C. D.—

查看答案和解析>>

科目:高中数学 来源:2015-2016学年西藏日喀则一中高二10月月考文数学试卷(解析版) 题型:解答题

已知函数是增函数,为减函数.

(1)求的表达式;

(2)求证:当时,方程有唯一解;

(3)当时,若内恒成立,求的取值范围.

查看答案和解析>>

科目:高中数学 来源:2015-2016学年贵州遵义航天高中高二上学期期中数学试卷(解析版) 题型:解答题

如图所示的几何体中EA平面ABC,BD平面ABC,AC=BC=BD=2AE=,M是AB的中点

(1)求证:CM EM;

(2)求MC与面EAC所成的角.

查看答案和解析>>

科目:高中数学 来源:2015-2016学年辽宁省葫芦岛市高一上学期期中考试数学试卷(解析版) 题型:填空题

已知幂函数的图象过点

查看答案和解析>>

科目:高中数学 来源:2015-2016学年吉林省扶余市高二上学期期中考试文科数学试卷(解析版) 题型:选择题

设x>0,那么有( )

A.最大值1 B.最小值1 C.最大值5 D.最小值

查看答案和解析>>

同步练习册答案