精英家教网 > 高中数学 > 题目详情

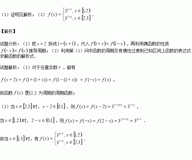
已知定义域为的偶函数满足:对于任意实数,都有,且当时,

(1)求证:函数是周期函数;

(2)当时,求的解析式.

练习册系列答案
相关习题

科目:高中数学 来源:2015-2016学年辽宁省协作校高一下期末数学试卷(解析版) 题型:选择题

已知,那么角

A.第一或第二象限角 B.第二或第三象限角

C.第三或第四象限角 D.第一或第四象限角

查看答案和解析>>

科目:高中数学 来源:2015-2016学年黑龙江肇东一中高一下学期期末考试数学(文)试卷(解析版) 题型:选择题

已知直线,直线,且,则的值为( )

A.-1 B. C.或-2 D.-1或-2

查看答案和解析>>

科目:高中数学 来源:2015-2016学年广东茂名十七中高二下学期期末数学(文)试卷(解析版) 题型:选择题

下列函数中,是偶函数且在区间(0,+∞)上单调递减的函数是( )

A. y=2x B. y= C.y=2 D. y=-x2

查看答案和解析>>

科目:高中数学 来源:2015-2016学年广东茂名十七中高二下学期期末数学(文)试卷(解析版) 题型:选择题

下列各组函数中,表示同一个函数的是 ( )

A.

B.

C.

D.

查看答案和解析>>

科目:高中数学 来源:2016-2017学年安徽黄山屯溪一中高二上学期摸底数学试卷(解析版) 题型:填空题

已知函数是定义在上的偶函数,且在区间上单调递增.若实数满足,则实数的取值范围是

查看答案和解析>>

科目:高中数学 来源:2016-2017学年安徽黄山屯溪一中高二上学期摸底数学试卷(解析版) 题型:选择题

若把函数的图象向左平移个单位,所得到的图象与函数的图象重合,则的值可能是( )

A. B. C. D.

查看答案和解析>>

科目:高中数学 来源:2015-2016学年江苏清江中学高二下期中数学(理)试卷(解析版) 题型:填空题

,利用课本中推导等差数列前n项和公式的方法,可求得

查看答案和解析>>

科目:高中数学 来源:2017届河南安阳市高三9月调研测试数学(文)试卷(解析版) 题型:填空题

某学校从高一学生500人,高二学生400人,高三学生300人,用分层抽样的方法从中抽取一个容量为60的样本,则应抽取高一学生的人数为

查看答案和解析>>

同步练习册答案