精英家教网 > 高中数学 > 题目详情

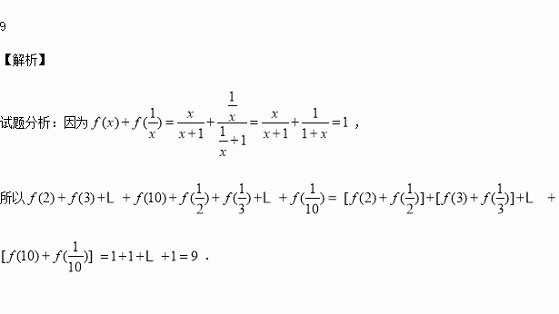
已知函数,则

练习册系列答案
相关习题

科目:高中数学 来源:2016届北京市朝阳区高三上学期期中统一考试理科数学试卷(解析版) 题型:解答题

已知函数(其中是常数,),函数的导函数为,且

(Ⅰ)若,求曲线在点处的切线方程;

(Ⅱ)当时,若函数在区间上的最大值为,试求的值.

查看答案和解析>>

科目:高中数学 来源:2016届辽宁省沈阳市高三上学期期中文科数学试卷(解析版) 题型:选择题

已知全集,,则( )

A. B. C. D.

查看答案和解析>>

科目:高中数学 来源:2015-2016学年山西省高二上期中文科数学试卷(解析版) 题型:解答题

已知圆C: ,直线:

(1)求证:对,直线与圆C总有两个不同的交点;

(2)若直线被圆C截得的弦长最小时,求直线的方程.

查看答案和解析>>

科目:高中数学 来源:2015-2016学年山西省高二上期中理科数学试卷(解析版) 题型:填空题

在边长为2的正方形中,分别是的中点,沿以及

都向上折起,使三点重合,设重合后的点为,那么对于四面体中的下列命题:

①点在平面上的射影是的垂心;

②四面体的外接球的表面积是

③在线段上存在一点,使得直线与直线所成的角是

其中正确命题的序号是

查看答案和解析>>

科目:高中数学 来源:2015-2016学年江苏省高一创新班上期中数学试卷(解析版) 题型:填空题

已知函数若方程)有且只有两个不相等的实数根,则实数的取值范围是

查看答案和解析>>

科目:高中数学 来源:2015-2016学年江苏省高一10月月考数学试卷(解析版) 题型:填空题

定义在R上的函数的值域为,则的值域为

查看答案和解析>>

科目:高中数学 来源:2015-2016学年湖北孝感高中高二上学期期中文科数学试卷(解析版) 题型:选择题

命题“存在一个无理数,它的平方是有理数”的否定是

A.任意一个无理数,它的平方不是有理数

B.任意一个有理数,它的平方是有理数

C.存在一个有理数,它的平方是有理数

D.存在一个无理数,它的平方不是有理数

查看答案和解析>>

科目:高中数学 来源:2016届贵州省高三上学期第三次月考理科数学试卷(解析版) 题型:解答题

如图,已知椭圆)经过点,离心率,直线的方程为

(1)求椭圆的标准方程;

(2)是经过椭圆右焦点的任一弦(不经过点),设直线相交于点,记的斜率分别为,问:是否存在常数,使得?若存在,求出的值;若不存在,说明理由.

查看答案和解析>>

同步练习册答案