精英家教网 > 高中数学 > 题目详情
设常数a>0,展开式中x3的系数为,则=   
【答案】分析:先利用展开式中x3的系数为,求出a的值,再利用无穷等比数列和的极限公式求解.
解答:解:由题意,展开式的通项为
,则r=2
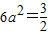
展开式中x3的系数为

∵a>0,


故答案为:1.
点评:本题以二项式为载体,考查数列的极限,关键是利用展开式中x3的系数为,求出a的值,从而求极限.
练习册系列答案
相关习题

科目:高中数学 来源: 题型:

设常数a>0,展开式中x3的系数为3/2,则a=_________.

查看答案和解析>>

科目:高中数学 来源:《1.3 二项式定理及其应用》2011年同步练习(解析版) 题型:填空题

设常数a>0,展开式中x3的系数为,则=   

查看答案和解析>>

科目:高中数学 来源:2011年湖北省天门市高考数学模拟试卷2(理科)(解析版) 题型:解答题

设常数a>0,展开式中x3的系数为,则=   

查看答案和解析>>

科目:高中数学 来源:2011年湖南省益阳市沅江市高三质量检测数学试卷1(理科)(解析版) 题型:解答题

设常数a>0,展开式中x3的系数为,则=   

查看答案和解析>>

科目:高中数学 来源:2008年上海市长宁区高考数学二模试卷(理科)(解析版) 题型:解答题

设常数a>0,展开式中x3的系数为,则=   

查看答案和解析>>

同步练习册答案