精英家教网 > 高中数学 > 题目详情

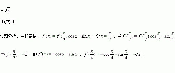
已知函数,则__.

练习册系列答案
相关习题

科目:高中数学 来源:2015-2016学年安徽省高二下期中文科数学试卷(解析版) 题型:填空题

在—次对人体脂肪百分比和年龄关系的研究中,研究人员获得如下一组样本数据:

年龄

脂肪

由表中数据求得关于的线性回归方程为,若年龄的值为,则的估计值为

查看答案和解析>>

科目:高中数学 来源:2016届福建省高三最后一卷理科数学试卷(解析版) 题型:解答题

已知函数是常数,且

(1)讨论零点的个数;

(2)证明:

查看答案和解析>>

科目:高中数学 来源:2016届福建省高三最后一卷理科数学试卷(解析版) 题型:选择题

分别为曲线上不同的两点,,则等于( )

A.1 B.2 C. D.3

查看答案和解析>>

科目:高中数学 来源:2015-2016学年河北省高二下期中文科数学试卷(解析版) 题型:解答题

已知曲线的极坐标方程为,直线的参数方程为为参数,).

(I)求曲线C的直角坐标方程与直线的普通方程;

(II)若直线与曲线C有且只有一个交点,求的值.

查看答案和解析>>

科目:高中数学 来源:2015-2016学年河北省高二下期中文科数学试卷(解析版) 题型:选择题

用反证法证明命题“三角形三个内角至少有一个不大于60°”时,应该假设( )

A.三个内角都不大于60° B.三个内角都大于60°

C.三个内角至多有一个大于60° D. 三个内角至少有两个大于60°

查看答案和解析>>

科目:高中数学 来源:2015-2016学年河北省高二下期中文科数学试卷(解析版) 题型:选择题

已知函数,则( )

A.是增函数

B.是减函数

C.在上单调递增,在上单调递减

D.在上单调递减,在上单调递增

查看答案和解析>>

科目:高中数学 来源:2015-2016学年河北省高二下期中理科数学试卷(解析版) 题型:选择题

已知点是曲线上的点,则点到直线的最小距离为( )

A.1 B. C. D.

查看答案和解析>>

科目:高中数学 来源:2015-2016学年河北省高一3月月考数学试卷(解析版) 题型:选择题

等差数列的前n项和为,若成等比数列,则的值为( )

A.1或2 B. C.2 D.或2

查看答案和解析>>

同步练习册答案