精英家教网 > 高中数学 > 题目详情

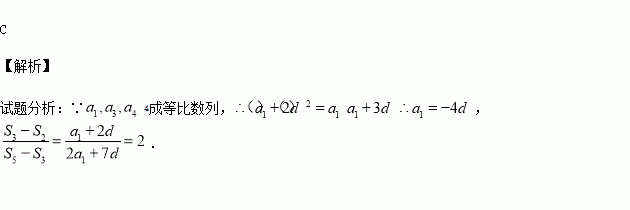
等差数列的前n项和为,若成等比数列,则的值为( )

A.1或2 B. C.2 D.或2

练习册系列答案
相关习题

科目:高中数学 来源:2015-2016学年河北省高二下期中文科数学试卷(解析版) 题型:填空题

已知函数,则__.

查看答案和解析>>

科目:高中数学 来源:2015-2016学年山西大学附属中学高一下期中数学试卷(解析版) 题型:填空题

在直角梯形中,为腰的中点,则

查看答案和解析>>

科目:高中数学 来源:2015-2016学年河北省高一3月月考数学试卷(解析版) 题型:解答题

中,角所对的边为,已知.

(1)求的值;

(2)若的面积为,且,求的值.

查看答案和解析>>

科目:高中数学 来源:2015-2016学年河北省高一3月月考数学试卷(解析版) 题型:填空题

在锐角中,角的对边分别为.若,则________.

查看答案和解析>>

科目:高中数学 来源:2015-2016学年河北省高一3月月考数学试卷(解析版) 题型:选择题

ABC中,,(a,b,c分别为角A,B,C的对边),则ABC的形状为 ( )

A.正三角形 B.直角三角形

C.等腰三角形或直角三角形 D.等腰直角三角形

查看答案和解析>>

科目:高中数学 来源:2015-2016学年安徽省高二下周末检测三文数学卷(解析版) 题型:解答题

已知函数.

(1)求函数的定义域;

(2)若函数的最小值为-4,求实数的值.

查看答案和解析>>

科目:高中数学 来源:2015-2016学年安徽省高二下周末检测三文数学卷(解析版) 题型:选择题

已知函数,则的值域是( )

A. B. C. D.

查看答案和解析>>

科目:高中数学 来源:2015-2016学年福建上杭一中高一下期末模拟二数学试卷(解析版) 题型:选择题

,已知),猜想等于( )

A. B. C. D.

查看答案和解析>>

同步练习册答案